The H3 system has served as a prototype for geometric phase (GP) effects in bimolecular chemical reactions for over three decades. Despite a large number of theoretical and experimental efforts, no conclusive evidence of GP effects in the integral cross section or reaction rate has been presented until recently [B. Kendrick et al., Phys. Rev. Lett. 115, 153201 (2015)]. Here we report a more detailed account of GP effects in the H + H2(v = 4, j = 0) → H + H2(v′, j′) (para-para) reaction rate coefficients for temperatures between 1 μK (8.6 × 10−11 eV) and 100 K (8.6 × 10−3 eV). The GP effect is found to persist in both vibrationally resolved and total rate coefficients for collision energies up to about 10 K. The GP effect also appears in rotationally resolved differential cross sections leading to a very different oscillatory structure in both energy and scattering angle. It is shown to suppress a prominent shape resonance near 1 K and enhance a shape resonance near 8 K, providing new experimentally verifiable signatures of the GP effect in the fundamental hydrogen exchange reaction. The GP effect in the D + D2 and T + T2 reactions is also examined in the ultracold limit and its sensitivity to the potential energy surface is explored.
I. INTRODUCTION
As first shown by Mead,1 the geometric phase (GP) associated with the D3h (i.e., equilateral triangle configuration) conical intersection in the H3 system leads to a sign change on the interference term between the reactive and non-reactive contributions to the total scattering amplitude. If the magnitudes of these two contributions are comparable, then significant interference can occur leading to large angular oscillations in the differential cross sections (DCSs).1 Unfortunately, due to experimental difficulties associated with the H3 system, Mead’s prediction has not yet been verified experimentally. The isotopic variants (including vibrational excitation2) are more favorable experimentally but the detection of geometric phase effects in these systems has eluded the most recent experimental attempts.3,4 Until recently,5–7 all previous theoretical studies of GP effects in the H + H2 reaction have been done at thermal energies. At cold (<1 K) and ultracold (<1 mK) collision energies, quantum mechanical effects become significantly enhanced which can lead to very different threshold behavior in the reaction rate coefficients for exoergic reactions.8–16 The H + H2(v = 0, j) reaction is a prototypical barrier reaction. However, for vibrationally excited H2(v > 3, j), the reaction dynamics changes character and the effective reaction pathway (along the vibrational adiabat) becomes barrierless and proceeds over an effective potential well.17–20 Thus, for vibrationally excited H2 colliding with H, significant reactivity can occur at ultracold collision energies.21–23 Furthermore, due to the unique properties associated with ultracold collisions, significant quantum interference can also occur between the reactive and non-reactive contributions to the total scattering amplitude.5–9 In this case, the constructive (destructive) interference can lead to a significantly enhanced (suppressed) reaction rate coefficient. Since the GP alters the sign on the interference term,1 it effectively controls the reactivity.5–9 The unique properties of ultracold collisions responsible for the large quantum interference are (1) s-wave (i.e., l = 0 orbital angular momentum) scattering and (2) scattering phase shift quantization. The former gives rise to isotropic scattering so that the maximum possible quantum interference can occur at all scattering angles whenever the magnitudes of the reactive and non-reactive scattering amplitudes are equal. The latter refers to Levinson’s theorem24 and its generalizations.25–27 Levinson showed that for a one-dimensional spherical well potential, the elastic scattering phase shift (δ) approaches an integral multiple of π (i.e., δ → nπ) in the zero wave vector limit (i.e., k → 0 or zero collision energy limit). The integer n corresponds to the number of bound states supported by the spherical well potential. Thus, in this sense the scattering phase shift which is continuous at thermal energies becomes essentially quantized for ultracold collisions. Levinson’s theorem has been generalized to include other potentials,25 multiple channels,26 and three-body systems.27 As discussed in detail in Sec. II, for ultracold collisions of H with vibrationally excited H2(v > 3, j), the reactive and non-reactive scattering amplitudes are typically similar in magnitude. Applying Levinson’s theorem to each reactive and non-reactive scattering pathway shows that the relative phase between the two scattering amplitudes for each of these pathways also approaches an integral multiple of π. The even (odd) integral multiples of π lead to destructive (constructive) interference which can dramatically alter the reactivity. Including the additional sign change (or π phase shift) associated with the GP reverses the nature of the interference and hence significantly alters the theoretically predicted reaction rate coefficient.
In this work we report GP effects in the H + H2(v = 4, j = 0) → H + H2(v′, j′) reaction for collision energies between 1 μK (8.6 × 10−11 eV) and 100 K (8.6 × 10−3 eV). The BKMP228 potential energy surface (PES) was used in the present calculations which include all values of J = 0 − 4 (where J is the quantum number denoting the total angular momentum of the triatomic system). The sensitivity of the results on the PES was checked by performing an identical set of calculations for J = 0 using the surface of Mielke et al.29 which contains improvements to the long range anisotropic behavior. Both PESs give similar ultracold rate coefficients and predict that the GP enhances the ultracold reactivity by a full order of magnitude (see Fig. 2 in Ref. 5). Additional tests of mass effects and sensitivity to the PES were carried out for the ultracold D + D2 and T + T2 reactions on both the BKMP2 and Mielke et al. PESs for J = 0. Extensive PES sensitivity tests have also been performed in our previous work by scaling the well depth (short range) and the van der Waals coefficient (long range) of the HO2 PES for ultracold O + OH collisions.9 All of the PES sensitivity studies indicate that the large GP effects reported in this work and in our previous studies for ultracold collision energies are due to a new quantum interference mechanism8 and are not a numerical artifact associated with a particular potential energy surface. The GP effects on the DCSs for ultracold H + H2 collisions are reported in this work for the first time as a function of collision energy and scattering angle. Total as well as rotationally and vibrationally resolved reaction rate coefficients are also reported as a function of collision energy for several product states. The pronounced GP effects on experimentally observable shape resonances are also discussed. The calculations were performed using a time-independent coupled-channel formalism based on the Adiabatically adjusting Principal axis Hyperspherical (APH) approach of Pack and Parker.30–34 The methodology is numerically exact for a given Born-Oppenheimer PES (i.e., no dynamical approximations are used) and has been validated against other quantum reactive scattering codes and high resolution crossed molecular beam experiments.34–36 We refer the interested reader to previous publications which give a detailed description of the Hamiltonian, computational methodology and parameters.30–34,37–40
II. QUANTUM REACTIVE SCATTERING RESULTS: H + H2 → H + H2
A. Reaction rate coefficients
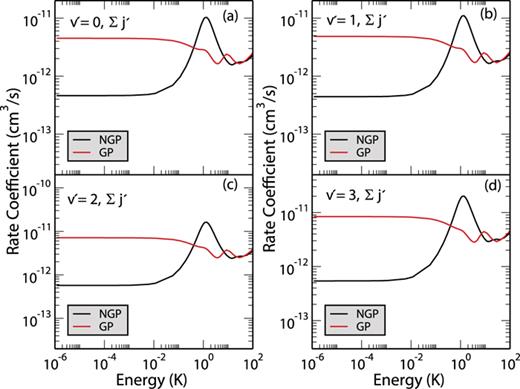
Several of the rotationally resolved rate coefficients for the H + H2(v = 4, j = 0) → H + H2(v′, j′) para-para (i.e., even j and j′) reaction are plotted in Fig. 1 as a function of collision energy between 1 μK and 100 K. The rate coefficients include all values of total angular momentum between J = 0 − 4. They are computed from the integral cross sections (σif) via kif = u σif where u is the relative velocity between the colliding atom and diatomic molecule. The labels i and f denote the initial vjmj and final states of the reactant and product diatomic molecules, respectively. The vj and v′j′ resolved results reported in this work are obtained by averaging over the initial mj and summing over all final . For all product states the ultracold rate coefficients computed with the GP (plotted in red) are significantly enhanced (by an order of magnitude) relative to those computed without the GP (plotted in black). The enhanced (suppressed) rate is due to the constructive (destructive) interference between the reactive and non-reactive scattering amplitudes. For the para-para transitions considered in this work, the properly symmetrized DCS is given by1,39
where igp = 1 or 0 for calculations which include or do not include the GP, respectively. The are the appropriately normalized wave vector magnitudes and the fN and fR are the scattering amplitudes for the non-reactive and reactive channels, respectively (see Ref. 39 for details). As confirmed in previous39 scattering calculations using the vector potential approach41 at thermal energies and now also in this work for ultracold collisions, the contributions to the total scattering amplitude from pathways encircling the conical intersection (i.e., those passing over two transition states) are very small. The dominant contributions are from the direct pathway (i.e., those passing over one transition state) and the effect of the GP is captured almost entirely by the sign change (i.e., igp = 1) given in Eq. (1). Thus, the GP can be accurately included for H + H2 by performing calculations without the vector potential.1,39 The computed fN and fR are then properly combined using Eq. (1) to include (igp = 1) or not include (igp = 0) the GP. We used this approach for the H + H2 calculations reported in this work.
Rotationally resolved reaction rate coefficients for the H + H2(v = 4, j = 0) → H + H2(v′, j′) (para-para) reaction plotted as a function of collision energy: (a) v′ = 0, j′ = 8, (b) v′ = 1, j′ = 4, (c) v′ = 2, j′ = 4, and (d) v′ = 3 j′ = 4. In all panels the red curves include the geometric phase (GP) and the black curves do not (NGP). The rates include all values of total angular momentum J = 0 − 4.
Rotationally resolved reaction rate coefficients for the H + H2(v = 4, j = 0) → H + H2(v′, j′) (para-para) reaction plotted as a function of collision energy: (a) v′ = 0, j′ = 8, (b) v′ = 1, j′ = 4, (c) v′ = 2, j′ = 4, and (d) v′ = 3 j′ = 4. In all panels the red curves include the geometric phase (GP) and the black curves do not (NGP). The rates include all values of total angular momentum J = 0 − 4.
Expressing the complex scattering amplitudes as fN = |fN|eiδN and fR = |fR|eiδR, and defining the ratio |fR|/|fN| = ϵ and relative phase Δ = δR − δN, we can write Eq. (1) as
If the magnitudes of the scattering amplitudes are equal |fN| = |fR| (i.e., ϵ = 1), then Eq. (2) becomes
From Eq. (3) we see that if the relative phase Δ is an integral multiple of π (i.e., Δ = n π where the integer n denotes the relative number of bound states supported along the reactive and non-reactive pathways, n = nR − nN), then for igp = 0 the DCS is zero (non-zero) for even (odd) n. When the GP is included (igp = 1), we obtain the opposite result, namely, the DCS is non-zero (zero) for even (odd) n. In practice, the scattering amplitudes are not exactly equal and the relative phase Δ is not exactly an integral multiple of π so that the maximal interference discussed above is not fully realized. However, as shown in Fig. 1 the interference can be quite large. From Eq. (3) we see that the enhanced (suppressed) GP (NGP) reaction rate coefficients plotted in Fig. 1 correspond to constructive (destructive) interference for which n is even and igp = 1 (0). The magnitudes of the scattering amplitudes and the cosΔ can be numerically computed from our quantum reactive scattering calculations. For the product states plotted in Fig. 1 the corresponding squared magnitudes at 1 μK and summed over are with ϵ = 0.52, with ϵ = 0.56, with ϵ = 0.60, and with ϵ = 0.67, respectively, for panels (a), (b), (c) and (d). The corresponding cosΔ at 1 μK are identical for all scattering angles θ and and are 0.9995, 0.9987, 0.9849, and 0.9778, respectively, for panels (a), (b), (c) and (d) (see also Tables I and II below and the supplementary material in Ref. 5 for additional cosΔ values). Thus at 1 μK the reactive and non-reactive scattering amplitudes are comparable in magnitude and the interference term is large due to the cosΔ ≈ 1 leading to significant GP effects. In contrast, at 20 K the ϵ values are nearly identical to those quoted above at 1 μK but the cosΔ values lie near zero. The cosΔ at 20 K vary with respect to scattering angle and and for panels (a), (b), (c) and (d), their average values (averaged with respect to the scattering angle and ) are −0.0469, −0.0029, 0.0197, and −0.0348, respectively. Thus at 20 K the reactive and non-reactive scattering amplitudes are comparable in magnitude but the interference term is small due to the cosΔ ≈ 0 and there are no significant GP effects. We emphasize that both the BKMP2 and the PES by Mielke et al. predict enhanced reactivity at ultracold energies when the GP is included (i.e., igp = 1 and even n). Based on our potential scaling studies for the O + OH ultracold reaction,9 we expect that if the effective potential well associated with the vibrational adiabat for the H + H2(v = 4, j = 0) collisions was deeper or shallower (i.e., its bound state spectrum is modified), then n could become odd and the nature of the interference would reverse causing the GP rate coefficients to be suppressed relative to the NGP ones.
Also of interest in Fig. 1 is the appearance of shape resonances due to the centrifugal barrier which occurs for J > 0. A significant shape resonance due to the l = 1 partial wave can be clearly seen in the NGP rate coefficient near 1 K. This resonance is suppressed in the GP results due to the larger l = 0 (note: l = J here since j = 0) background associated with the constructive (destructive) interference which occurs for even (odd) values of l. Correspondingly, the l = 2 resonance near 8 K is more prominent in the GP results (see Fig. 3 below which plots the individual partial wave contributions). The NGP results exhibit the opposite interference behavior. That is, destructive (constructive) interference occurs for even (odd) values of l so that the l = 0 background is suppressed and the l = 1 shape resonance is enhanced in the NGP results. However, it is important to stress that this alternating interference behavior is not always strictly observed. Significant differences between the reaction rate coefficients computed with and without the GP are clearly visible in Fig. 1 for collision energies up to approximately 20 K. Above 20 K the GP effects wash-out due to the contributions from many partial waves (which give a small cosΔ).
Figure 2 plots the vibrationally resolved rate coefficients for the H + H2(v = 4, j = 0) → H + H2(v′ = 0 − 3) para-para reaction summed over all final j′. Since the GP effects are similar in all of the rotationally resolved rates (see Fig. 1), the sum over j′ results in significant GP effects in the vibrationally resolved rates. The ultracold GP reaction rate coefficients are approximately an order of magnitude larger than the NGP ones for each product vibrational state v′ = 0 − 3. The l = 1 and 2 shape resonances observed in the rotationally resolved rates are also clearly present in the vibrationally resolved ones. The total rate coefficient for the H + H2(v = 4, j = 0) → H + H2 para-para reaction is plotted in Fig. 3(a). As seen in Fig. 2, the vibrationally resolved rates are similar and therefore they add constructively in the sum over v′. Thus, the large GP effects seen in the rotationally resolved (Fig. 1) and vibrationally resolved (Fig. 2) rates are preserved in the total rate coefficient when summed over all product v′ and j′ states. The l = 1 and 2 shape resonances are also clearly visible in the total rate. Figure 3(a) shows that the GP leads to an order of magnitude enhancement in the total ultracold para-para reaction rate coefficient for H collisions with vibrationally excited H2(v = 4, j = 0). Furthermore, significant GP effects also occur at higher collision energies up to 20 K before contributions from higher partial waves wash it out. In particular, the GP results do not predict the prominent l = 1 shape resonance near 1 K as seen in the NGP results. Instead a weaker l = 2 shape resonance is predicted to occur near 8 K. A Lorentzian fit including background contributions was performed for the GP predicted l = 2 shape resonance to more accurately determine its properties. The resulting fit gives a resonance energy, width, and lifetime of Ec = 8.36 K, ΔE = 13.0 K, and τ = 4 ħ/ΔE = 2.35 ps, respectively. Figure 3(b) plots the individual contributions from each value of total angular momentum J to the total reaction rate plotted in Fig. 3(a). As reported in previous work by Kendrick at thermal energies,38–40 Fig. 3(b) shows that the GP effect alternates with alternating even and odd values of J (i.e., the red curve is above the black curve for J = 0, the black dashed curve is above the red dashed curve for J = 1, etc.). This alternating constructive/destructive interference leads to a complete cancellation of the GP effect in the integral cross sections or reaction rate coefficients for collision energies above approximately 20 K for which many partial waves contribute. From Fig. 3 we see that the reaction rate coefficients summed over J = 0 − 4 are well converged with respect to the partial wave sum up to 20 K (i.e., the J = 4 contribution to the total rate is approximately 1% at 20 K).
Vibrationally resolved reaction rate coefficients for the H + H2(v = 4, j = 0) → H + H2(v′) (para-para) reaction plotted as a function of collision energy: (a) v′ = 0, (b) v′ = 1, (c) v′ = 2, and (d) v′ = 3. In all panels the red curves include the geometric phase (GP) and the black curves do not (NGP). The rates include all values of total angular momentum J = 0 − 4.
Vibrationally resolved reaction rate coefficients for the H + H2(v = 4, j = 0) → H + H2(v′) (para-para) reaction plotted as a function of collision energy: (a) v′ = 0, (b) v′ = 1, (c) v′ = 2, and (d) v′ = 3. In all panels the red curves include the geometric phase (GP) and the black curves do not (NGP). The rates include all values of total angular momentum J = 0 − 4.
Total reaction rate coefficients for the H + H2(v = 4, j = 0) → H + H2 (para-para) reaction plotted as a function of collision energy: (a) summed over all values of total angular momentum J = 0 − 4 and (b) individual contributions from each J = 0 − 4. Solid curves J = 0, dashed curves J = 1, dotted dashed J = 2, dotted J = 3, and double-dotted dashed J = 4. The red curves include the geometric phase (GP) and the black curves do not (NGP).
Total reaction rate coefficients for the H + H2(v = 4, j = 0) → H + H2 (para-para) reaction plotted as a function of collision energy: (a) summed over all values of total angular momentum J = 0 − 4 and (b) individual contributions from each J = 0 − 4. Solid curves J = 0, dashed curves J = 1, dotted dashed J = 2, dotted J = 3, and double-dotted dashed J = 4. The red curves include the geometric phase (GP) and the black curves do not (NGP).
B. Differential cross sections
Figure 4 plots the DCS for the rotationally resolved H + H2(v = 4, j = 0) → H + H2(v′ = 3, j′ = 0) reaction as a function of both collision energy and scattering angle. The DCS is plotted for collision energies between 1 μK and 20 K for which the cross section is well converged with respect to the partial wave sum (see Fig. 3(b)). Thus, the significant differences observed in the oscillatory structure between the GP (panel (a)) and NGP (panel (b)) DCSs (both in energy and scattering angle) are due entirely to the GP. As seen in the reaction rate coefficients, the shape resonance near 1 K is clearly visible in the NGP DCS but not in the GP DCS. The symmetric forward/backward angular dependence associated with the l = 1 partial wave is clearly visible in the NGP DCS near 1 K. In contrast near 8 K, it is the l = 2 shape resonance that dominates in the GP DCS. As expected, isotropic scattering is observed at ultracold collision energies where only the l = 0 partial wave (s-wave) contributes. Constructive interference due to the GP leads to an enhanced DCS which is over an order of magnitude larger than the NGP DCS at 1 μK. Figure 5 plots the DCS for the rotationally resolved H + H2(v = 4, j = 0) → H + H2(v′ = 3, j′ = 0) reaction as a function of scattering angle at two fixed collision energies near the shape resonances seen in Fig. 4. Figures 5(a) and 5(b) plot the DCS at Ec = 1.16 and 8.7 K, respectively. Significant differences between the NGP and GP DCSs are seen in the oscillatory structure as a function of the scattering angle. In Fig. 5(a) the GP DCS (red) exhibits the isotropic or uniform scattering associated with the l = 0 partial wave. In contrast, the NGP DCS (black) exhibits the symmetric forward/backward (i.e., |cosθ|2) behavior associated with the l = 1 partial wave and a node at θ = 90°. In Fig. 5(b) the GP DCS (red) exhibits the |cos2θ|2 behavior associated with the l = 2 partial wave with nodes at θ = 45° and θ = 135°. The NGP DCS (black) continues to exhibit the l = 1 |cosθ|2 dependence as seen in panel (a). The predicted differences in magnitude and oscillatory structure between the NGP and GP DCSs plotted in Figs. 4 and 5 and the reaction rate coefficients plotted in Figs. 1-3 provide an experimentally measurable signature for confirming the presence of GP effects in the ultracold H + H2(v = 4, j = 0) reaction.
The DCS for the H + H2(v = 4, j = 0) → H + H2(v′ = 3, j′ = 0) (para-para) reaction is plotted as a function of collision energy and scattering angle. The DCS plotted with the red mesh (a) includes the geometric phase (GP) while the one with the black mesh (b) does not (NGP). The results include all values of total angular momentum J = 0 − 4.
The DCS for the H + H2(v = 4, j = 0) → H + H2(v′ = 3, j′ = 0) (para-para) reaction is plotted as a function of collision energy and scattering angle. The DCS plotted with the red mesh (a) includes the geometric phase (GP) while the one with the black mesh (b) does not (NGP). The results include all values of total angular momentum J = 0 − 4.
The DCS for the H + H2(v = 4, j = 0) → H + H2(v′ = 3, j′ = 0) (para-para) reaction is plotted as a function of scattering angle for two fixed collision energies: (a) Ec = 1.16 K and (b) Ec = 8.7 K. The red curves include the geometric phase (GP) and the black curves do not (NGP). The results include all values of total angular momentum J = 0 − 4.
The DCS for the H + H2(v = 4, j = 0) → H + H2(v′ = 3, j′ = 0) (para-para) reaction is plotted as a function of scattering angle for two fixed collision energies: (a) Ec = 1.16 K and (b) Ec = 8.7 K. The red curves include the geometric phase (GP) and the black curves do not (NGP). The results include all values of total angular momentum J = 0 − 4.
C. Isotope effect and sensitivity to PES
In our model the relative magnitude of the GP and NGP rate coefficients is explained in terms of the bound state structure of the vibrationally adiabatic potentials traversed by the non-reactive and reactive scattering amplitudes. The bound state spectrum is sensitive to both the PES and mass of the collision partners. Thus, the relative magnitude of the GP and NGP rate coefficients may vary for a given hydrogen isotope as the potential surface is changed or for a given potential as the mass is varied or both. To explore this, we have evaluated ultracold GP and NGP rate coefficients for all three hydrogen isotopes (H, D, T) using both the BKMP228 and Mielke et al.29 PESs for the v = 4, j = 0 initial state. Results on the BKMP2 PES are summarized in Table I and those on the Mielke et al. PES are given in Table II. Only state-to-state rate coefficients that are larger than 1.0 × 10−16 cm3 s−1 are shown. Tabulated values include the GP and NGP rate coefficients and their ratio, 〈cosΔ〉, and the ratio of the squares of reactive and non-reactive scattering amplitudes, (where the 〈〉 denote the average with respect to the scattering angle θ). The results correspond to J = 0 and s-wave scattering in the incident channel. Table I shows that inclusion of the GP enhances the rate coefficients for most rovibrationally resolved final states in the D + D2(v = 4, j = 0) → D + D2(v′, even j′) reaction except for v′ = 3, j′ = 0 for which the NGP rate is larger by a factor of 2.3. The corresponding 〈cosΔ〉 also changes sign suggestive of a change in bound state structure (the relative phase Δ becomes an odd multiple of π). In contrast to H + H2, the results for the T + T2(v = 4, j = 0) → T + T2(v′, even j′) reaction indicate dominance of the NGP rates for all final states shown in the table with a negative sign for the 〈cosΔ〉 values. The NGP rates are larger by a factor of 3 to 8 for the different final states. The correlation between the relative magnitude of the GP and NGP rate coefficients with the sign of 〈cosΔ〉 is strongly indicative of a change in bound state structure of the vibrationally adiabatic potentials along the reactive and non-reactive scattering pathways as the hydrogen isotope becomes heavier.
Ultracold (1 μK) rate coefficients for H + H2(v = 4, j = 0) → H + H2(v′, even j′), D + D2(v = 4, j = 0) → D + D2(v′, even j′), and T + T2(v = 4, j = 0) → T + T2(v′, even j′) reactions with and without geometric phase effects, the ratio of the average square modulus of the reactive and non-reactive scattering amplitudes, cosΔ, and the ratio of the GP and NGP rates are listed. The nuclear spin statistics of both D3 and T3 are treated the same as H3 to reflect only mass effects on the rate coefficients. Results correspond to the H3 BKMP2 PES.28
| . | H + H2(v = 4, j = 0) . | ⟶ . | H + H2(v′, even j′) reaction . | . | . | . |
|---|---|---|---|---|---|---|
| v′ . | j′ . | NGP rate (cm3/s) . | GP rate (cm3/s) . | . | 〈cosΔ〉 . | . |
| 0 | 0 | 2.01 × 10−15 | 1.91 × 10−14 | 0.26 | 0.99 | 9.48 |
| 0 | 2 | 1.39 × 10−14 | 1.47 × 10−13 | 0.28 | 0.99 | 10.55 |
| 0 | 4 | 3.66 × 10−14 | 3.42 × 10−13 | 0.26 | 0.99 | 9.32 |
| 0 | 6 | 1.37 × 10−13 | 1.20 × 10−12 | 0.25 | 0.99 | 8.77 |
| 0 | 8 | 1.93 × 10−13 | 1.90 × 10−12 | 0.27 | 0.99 | 9.83 |
| 0 | 10 | 7.22 × 10−14 | 7.62 × 10−13 | 0.29 | 0.99 | 10.55 |
| 0 | 12 | 6.26 × 10−15 | 1.13 × 10−13 | 0.39 | 0.99 | 18.09 |
| 0 | 14 | 2.07 × 10−16 | 5.16 × 10−15 | 1.80 | 0.96 | 25.00 |
| 1 | 0 | 2.00 × 10−14 | 1.62 × 10−13 | 0.23 | 0.99 | 8.11 |
| 1 | 2 | 1.34 × 10−13 | 1.29 × 10−12 | 0.27 | 0.99 | 9.65 |
| 1 | 4 | 6.94 × 10−14 | 8.77 × 10−13 | 0.32 | 0.99 | 12.64 |
| 1 | 6 | 5.36 × 10−14 | 5.42 × 10−13 | 0.29 | 0.98 | 10.12 |
| 1 | 8 | 1.37 × 10−13 | 1.59 × 10−12 | 0.30 | 0.99 | 11.67 |
| 1 | 10 | 2.88 × 10−14 | 3.57 × 10−13 | 0.32 | 0.99 | 12.39 |
| 1 | 12 | 6.18 × 10−16 | 6.42 × 10−15 | 0.28 | 0.99 | 10.39 |
| 1 | 14 | 1.72 × 10−17 | 7.18 × 10−16 | 0.54 | 1.00 | 41.66 |
| 2 | 0 | 4.36 × 10−14 | 2.10 × 10−13 | 0.14 | 0.99 | 4.81 |
| 2 | 2 | 1.93 × 10−13 | 2.39 × 10−12 | 0.32 | 0.99 | 12.35 |
| 2 | 4 | 1.07 × 10−13 | 1.56 × 10−12 | 0.36 | 0.98 | 14.57 |
| 2 | 6 | 1.65 × 10−13 | 2.01 × 10−12 | 0.33 | 0.98 | 12.18 |
| 2 | 8 | 5.95 × 10−14 | 9.38 × 10−13 | 0.38 | 0.98 | 15.77 |
| 2 | 10 | 2.76 × 10−15 | 2.55 × 10−14 | 0.27 | 0.98 | 9.23 |
| 3 | 0 | 5.97 × 10−14 | 8.05 × 10−13 | 0.43 | 0.94 | 13.48 |
| 3 | 2 | 2.02 × 10−13 | 2.80 × 10−12 | 0.43 | 0.94 | 13.83 |
| 3 | 4 | 2.16 × 10−13 | 4.32 × 10−12 | 0.45 | 0.98 | 20.01 |
| 3 | 6 | 6.31 × 10−14 | 4.70 × 10−13 | 0.43 | 0.83 | 7.45 |
| D + D2(v = 4, j = 0) | ⟶ | D + D2(v′, even j′) reaction | ||||
| v′ | j′ | NGP rate (cm3/s) | GP rate (cm3/s) | 〈cosΔ〉 | ||
| 0 | 4 | 5.77 × 10−18 | 3.57 × 10−16 | 0.65 | 0.99 | 61.90 |
| 0 | 6 | 5.43 × 10−17 | 6.22 × 10−16 | 0.32 | 0.98 | 11.45 |
| 0 | 8 | 8.47 × 10−17 | 5.76 × 10−16 | 0.21 | 0.98 | 6.80 |
| 0 | 10 | 2.13 × 10−17 | 2.32 × 10−16 | 0.29 | 0.99 | 10.87 |
| 1 | 2 | 8.17 × 10−17 | 1.98 × 10−16 | 0.70 | 0.42 | 2.43 |
| 1 | 4 | 1.21 × 10−17 | 2.42 × 10−16 | 1.25 | 0.91 | 20.02 |
| 1 | 6 | 3.92 × 10−17 | 7.18 × 10−16 | 0.39 | 0.99 | 18.31 |
| 1 | 8 | 3.84 × 10−17 | 5.90 × 10−16 | 0.35 | 1.00 | 15.35 |
| 2 | 0 | 1.20 × 10−16 | 1.10 × 10−15 | 2.96 | 0.92 | 9.12 |
| 2 | 2 | 1.55 × 10−16 | 7.29 × 10−16 | 1.51 | 0.66 | 4.70 |
| 2 | 4 | 2.62 × 10−17 | 6.41 × 10−16 | 0.52 | 0.97 | 24.47 |
| 2 | 6 | 3.37 × 10−18 | 1.40 × 10−15 | 0.88 | 0.99 | 413.8 |
| 3 | 0 | 2.09 × 10−15 | 8.88 × 10−16 | 0.69 | −0.41 | 0.43 |
| 3 | 2 | 6.22 × 10−16 | 2.20 × 10−15 | 1.67 | 0.58 | 3.53 |
| 3 | 4 | 1.69 × 10−16 | 1.19 × 10−15 | 0.44 | 0.82 | 7.04 |
| 3 | 6 | 1.88 × 10−16 | 3.90 × 10−16 | 0.93 | 0.35 | 2.07 |
| T + T2(v = 4, j = 0) | ⟶ | T + T2(v′, even j′) reaction | ||||
| v′ | j′ | NGP rate (cm3/s) | GP rate (cm3/s) | 〈cosΔ〉 | ||
| 3 | 0 | 1.69 × 10−15 | 6.21 × 10−15 | 0.35 | −0.53 | 0.37 |
| 3 | 2 | 6.24 × 10−16 | 2.10 × 10−16 | 0.37 | −0.56 | 0.34 |
| 3 | 4 | 6.28 × 10−16 | 1.32 × 10−16 | 0.58 | −0.68 | 0.21 |
| 3 | 6 | 6.09 × 10−16 | 7.40 × 10−17 | 0.25 | −0.97 | 0.12 |
| . | H + H2(v = 4, j = 0) . | ⟶ . | H + H2(v′, even j′) reaction . | . | . | . |
|---|---|---|---|---|---|---|
| v′ . | j′ . | NGP rate (cm3/s) . | GP rate (cm3/s) . | . | 〈cosΔ〉 . | . |
| 0 | 0 | 2.01 × 10−15 | 1.91 × 10−14 | 0.26 | 0.99 | 9.48 |
| 0 | 2 | 1.39 × 10−14 | 1.47 × 10−13 | 0.28 | 0.99 | 10.55 |
| 0 | 4 | 3.66 × 10−14 | 3.42 × 10−13 | 0.26 | 0.99 | 9.32 |
| 0 | 6 | 1.37 × 10−13 | 1.20 × 10−12 | 0.25 | 0.99 | 8.77 |
| 0 | 8 | 1.93 × 10−13 | 1.90 × 10−12 | 0.27 | 0.99 | 9.83 |
| 0 | 10 | 7.22 × 10−14 | 7.62 × 10−13 | 0.29 | 0.99 | 10.55 |
| 0 | 12 | 6.26 × 10−15 | 1.13 × 10−13 | 0.39 | 0.99 | 18.09 |
| 0 | 14 | 2.07 × 10−16 | 5.16 × 10−15 | 1.80 | 0.96 | 25.00 |
| 1 | 0 | 2.00 × 10−14 | 1.62 × 10−13 | 0.23 | 0.99 | 8.11 |
| 1 | 2 | 1.34 × 10−13 | 1.29 × 10−12 | 0.27 | 0.99 | 9.65 |
| 1 | 4 | 6.94 × 10−14 | 8.77 × 10−13 | 0.32 | 0.99 | 12.64 |
| 1 | 6 | 5.36 × 10−14 | 5.42 × 10−13 | 0.29 | 0.98 | 10.12 |
| 1 | 8 | 1.37 × 10−13 | 1.59 × 10−12 | 0.30 | 0.99 | 11.67 |
| 1 | 10 | 2.88 × 10−14 | 3.57 × 10−13 | 0.32 | 0.99 | 12.39 |
| 1 | 12 | 6.18 × 10−16 | 6.42 × 10−15 | 0.28 | 0.99 | 10.39 |
| 1 | 14 | 1.72 × 10−17 | 7.18 × 10−16 | 0.54 | 1.00 | 41.66 |
| 2 | 0 | 4.36 × 10−14 | 2.10 × 10−13 | 0.14 | 0.99 | 4.81 |
| 2 | 2 | 1.93 × 10−13 | 2.39 × 10−12 | 0.32 | 0.99 | 12.35 |
| 2 | 4 | 1.07 × 10−13 | 1.56 × 10−12 | 0.36 | 0.98 | 14.57 |
| 2 | 6 | 1.65 × 10−13 | 2.01 × 10−12 | 0.33 | 0.98 | 12.18 |
| 2 | 8 | 5.95 × 10−14 | 9.38 × 10−13 | 0.38 | 0.98 | 15.77 |
| 2 | 10 | 2.76 × 10−15 | 2.55 × 10−14 | 0.27 | 0.98 | 9.23 |
| 3 | 0 | 5.97 × 10−14 | 8.05 × 10−13 | 0.43 | 0.94 | 13.48 |
| 3 | 2 | 2.02 × 10−13 | 2.80 × 10−12 | 0.43 | 0.94 | 13.83 |
| 3 | 4 | 2.16 × 10−13 | 4.32 × 10−12 | 0.45 | 0.98 | 20.01 |
| 3 | 6 | 6.31 × 10−14 | 4.70 × 10−13 | 0.43 | 0.83 | 7.45 |
| D + D2(v = 4, j = 0) | ⟶ | D + D2(v′, even j′) reaction | ||||
| v′ | j′ | NGP rate (cm3/s) | GP rate (cm3/s) | 〈cosΔ〉 | ||
| 0 | 4 | 5.77 × 10−18 | 3.57 × 10−16 | 0.65 | 0.99 | 61.90 |
| 0 | 6 | 5.43 × 10−17 | 6.22 × 10−16 | 0.32 | 0.98 | 11.45 |
| 0 | 8 | 8.47 × 10−17 | 5.76 × 10−16 | 0.21 | 0.98 | 6.80 |
| 0 | 10 | 2.13 × 10−17 | 2.32 × 10−16 | 0.29 | 0.99 | 10.87 |
| 1 | 2 | 8.17 × 10−17 | 1.98 × 10−16 | 0.70 | 0.42 | 2.43 |
| 1 | 4 | 1.21 × 10−17 | 2.42 × 10−16 | 1.25 | 0.91 | 20.02 |
| 1 | 6 | 3.92 × 10−17 | 7.18 × 10−16 | 0.39 | 0.99 | 18.31 |
| 1 | 8 | 3.84 × 10−17 | 5.90 × 10−16 | 0.35 | 1.00 | 15.35 |
| 2 | 0 | 1.20 × 10−16 | 1.10 × 10−15 | 2.96 | 0.92 | 9.12 |
| 2 | 2 | 1.55 × 10−16 | 7.29 × 10−16 | 1.51 | 0.66 | 4.70 |
| 2 | 4 | 2.62 × 10−17 | 6.41 × 10−16 | 0.52 | 0.97 | 24.47 |
| 2 | 6 | 3.37 × 10−18 | 1.40 × 10−15 | 0.88 | 0.99 | 413.8 |
| 3 | 0 | 2.09 × 10−15 | 8.88 × 10−16 | 0.69 | −0.41 | 0.43 |
| 3 | 2 | 6.22 × 10−16 | 2.20 × 10−15 | 1.67 | 0.58 | 3.53 |
| 3 | 4 | 1.69 × 10−16 | 1.19 × 10−15 | 0.44 | 0.82 | 7.04 |
| 3 | 6 | 1.88 × 10−16 | 3.90 × 10−16 | 0.93 | 0.35 | 2.07 |
| T + T2(v = 4, j = 0) | ⟶ | T + T2(v′, even j′) reaction | ||||
| v′ | j′ | NGP rate (cm3/s) | GP rate (cm3/s) | 〈cosΔ〉 | ||
| 3 | 0 | 1.69 × 10−15 | 6.21 × 10−15 | 0.35 | −0.53 | 0.37 |
| 3 | 2 | 6.24 × 10−16 | 2.10 × 10−16 | 0.37 | −0.56 | 0.34 |
| 3 | 4 | 6.28 × 10−16 | 1.32 × 10−16 | 0.58 | −0.68 | 0.21 |
| 3 | 6 | 6.09 × 10−16 | 7.40 × 10−17 | 0.25 | −0.97 | 0.12 |
Similar results on the PES of Mielke et al.29 are shown in Table II. The H + H2 results are within 10% of that obtained using the BKMP2 PES (Table I) for all the final states with the ultracold GP rates dominating the NGP rates. The situation is somewhat different for D + D2 where the GP and NGP rates alternate for different final states. Among the thirteen transitions shown in Table II for D + D2, the GP rates are larger for 8 transitions. When the NGP rates dominate, the corresponding 〈cosΔ〉 values become negative as in the case of the BKMP2 PES. Due to this modulation in the relative magnitude of GP/NGP rate coefficients for different final states, the total J = 0 ultracold rate coefficient (not shown) for the D + D2(v = 4, j = 0) reaction summed over all final v′, j′ states is nearly identical for the GP and NGP cases on the Mielke PES. The results for the T + T2 reaction in Table II are similar to that on the BKMP2 PES with the NGP rates dominating the GP rates for all final states. Thus, it appears that the D + D2 reaction exhibits similar GP effects as H + H2 on the BKMP2 PES whereas for the PES of Mielke et al., it acts as a transitional case between H + H2 and T + T2. The overall reduction in reaction rates for D + D2 and T + T2 compared to H + H2 on both PESs is, due in part, to the lower vibrational energy of the initial state (1.5885 and 1.320 eV for the v = 4, j = 0 level of D2 and T2 compared to 2.1610 eV for H2) and the presence of small submerged barriers for the vibrationally adiabatic potential curves (hyperspherical adiabats) for the D + D2 and T + T2 reactions.
| . | H + H2 (v = 4, j = 0) . | ⟶ . | H + H2(v′, even j′) reaction . | . | . | . |
|---|---|---|---|---|---|---|
| v′ . | j′ . | NGP rate (cm3/s) . | GP rate (cm3/s) . | . | 〈cosΔ〉 . | . |
| 0 | 0 | 2.70 × 10−15 | 2.10 × 10−14 | 0.22 | 0.99 | 7.77 |
| 0 | 2 | 1.60 × 10−14 | 1.40 × 10−13 | 0.25 | 0.99 | 8.76 |
| 0 | 4 | 3.46 × 10−14 | 3.05 × 10−13 | 0.25 | 0.99 | 8.81 |
| 0 | 6 | 1.25 × 10−13 | 1.08 × 10−12 | 0.25 | 0.99 | 8.67 |
| 0 | 8 | 1.70 × 10−13 | 1.69 × 10−12 | 0.27 | 0.99 | 9.90 |
| 0 | 10 | 6.26 × 10−14 | 6.42 × 10−13 | 0.28 | 0.99 | 10.27 |
| 0 | 12 | 4.94 × 10−15 | 9.20 × 10−14 | 0.40 | 0.99 | 18.62 |
| 0 | 14 | 5.58 × 10−16 | 6.52 × 10−15 | 0.30 | 0.99 | 11.68 |
| 1 | 0 | 1.65 × 10−14 | 1.43 × 10−13 | 0.25 | 0.99 | 8.64 |
| 1 | 2 | 1.19 × 10−13 | 1.12 × 10−12 | 0.26 | 0.99 | 9.42 |
| 1 | 4 | 6.70 × 10−14 | 7.70 × 10−13 | 0.30 | 0.99 | 11.49 |
| 1 | 6 | 4.54 × 10−14 | 4.62 × 10−13 | 0.29 | 0.98 | 10.17 |
| 1 | 8 | 1.13 × 10−13 | 1.35 × 10−12 | 0.31 | 0.99 | 11.95 |
| 1 | 10 | 2.77 × 10−14 | 3.06 × 10−13 | 0.29 | 0.99 | 11.04 |
| 1 | 12 | 3.87 × 10−16 | 6.74 × 10−15 | 0.39 | 0.99 | 17.39 |
| 1 | 14 | 1.74 × 10−17 | 3.43 × 10−16 | 2.45 | 0.99 | 19.73 |
| 2 | 0 | 3.20 × 10−14 | 1.61 × 10−13 | 0.18 | 0.94 | 5.03 |
| 2 | 2 | 1.80 × 10−13 | 2.08 × 10−12 | 0.31 | 0.99 | 11.52 |
| 2 | 4 | 9.45 × 10−14 | 1.36 × 10−12 | 0.36 | 0.99 | 14.35 |
| 2 | 6 | 1.39 × 10−13 | 1.77 × 10−12 | 0.33 | 0.99 | 12.75 |
| 2 | 8 | 5.59 × 10−14 | 8.07 × 10−13 | 0.36 | 0.99 | 14.44 |
| 2 | 10 | 2.33 × 10−15 | 1.96 × 10−14 | 0.25 | 0.98 | 8.41 |
| 3 | 0 | 4.70 × 10−14 | 6.90 × 10−13 | 0.44 | 0.95 | 14.67 |
| 3 | 2 | 1.61 × 10−13 | 2.31 × 10−12 | 0.44 | 0.94 | 14.34 |
| 3 | 4 | 1.84 × 10−13 | 3.85 × 10−12 | 0.45 | 0.98 | 20.88 |
| 3 | 6 | 6.04 × 10−14 | 4.29 × 10−13 | 0.43 | 0.82 | 7.10 |
| D + D2(v = 4, j = 0) | ⟶ | D + D2(v′, even j′) reaction | ||||
| v′ | j′ | NGP rate (cm3/s) | GP rate (cm3/s) | 〈cosΔ〉 | ||
| 0 | 6 | 2.22 × 10−17 | 2.63 × 10−16 | 0.57 | 0.88 | 11.83 |
| 0 | 8 | 3.73 × 10−17 | 2.18 × 10−16 | 0.32 | 0.83 | 5.86 |
| 1 | 6 | 1.17 × 10−17 | 2.60 × 10−16 | 1.00 | 0.91 | 22.21 |
| 1 | 8 | 1.99 × 10−17 | 2.28 × 10−16 | 0.30 | 0.99 | 11.45 |
| 1 | 14 | 2.46 × 10−16 | 2.19 × 10−16 | 1110.0 | −0.99 | 0.89 |
| 2 | 0 | 5.29 × 10−16 | 4.84 × 10−16 | 0.27 | −0.05 | 0.91 |
| 2 | 2 | 7.32 × 10−17 | 2.42 × 10−16 | 1.66 | 0.55 | 3.30 |
| 2 | 4 | 9.43 × 10−17 | 3.03 × 10−16 | 4.25 | 0.67 | 3.21 |
| 2 | 6 | 5.23 × 10−17 | 6.87 × 10−16 | 0.35 | 0.98 | 13.14 |
| 3 | 0 | 3.31 × 10−15 | 5.15 × 10−16 | 0.24 | −0.92 | 0.16 |
| 3 | 2 | 7.96 × 10−16 | 2.43 × 10−16 | 1.72 | −0.55 | 0.31 |
| 3 | 4 | 3.59 × 10−16 | 1.40 × 10−15 | 0.23 | 0.76 | 3.90 |
| 3 | 6 | 2.35 × 10−16 | 8.08 × 10−17 | 0.32 | −0.57 | 0.34 |
| T + T2(v = 4, j = 0) | ⟶ | T + T2(v′, even j′) reaction | ||||
| v′ | j′ | NGP rate (cm3/s) | GP rate (cm3/s) | 〈cosΔ〉 | ||
| 2 | 0 | 2.20 × 10−16 | 1.18 × 10−16 | 0.50 | −0.32 | 0.54 |
| 3 | 0 | 3.89 × 10−15 | 5.88 × 10−16 | 0.24 | −0.94 | 0.15 |
| 3 | 2 | 4.79 × 10−16 | 2.76 × 10−16 | 0.02 | −0.98 | 0.58 |
| 3 | 4 | 3.38 × 10−16 | 1.10 × 10−16 | 0.07 | −0.99 | 0.33 |
| 3 | 6 | 3.31 × 10−16 | 7.98 × 10−17 | 0.23 | −0.78 | 0.24 |
| . | H + H2 (v = 4, j = 0) . | ⟶ . | H + H2(v′, even j′) reaction . | . | . | . |
|---|---|---|---|---|---|---|
| v′ . | j′ . | NGP rate (cm3/s) . | GP rate (cm3/s) . | . | 〈cosΔ〉 . | . |
| 0 | 0 | 2.70 × 10−15 | 2.10 × 10−14 | 0.22 | 0.99 | 7.77 |
| 0 | 2 | 1.60 × 10−14 | 1.40 × 10−13 | 0.25 | 0.99 | 8.76 |
| 0 | 4 | 3.46 × 10−14 | 3.05 × 10−13 | 0.25 | 0.99 | 8.81 |
| 0 | 6 | 1.25 × 10−13 | 1.08 × 10−12 | 0.25 | 0.99 | 8.67 |
| 0 | 8 | 1.70 × 10−13 | 1.69 × 10−12 | 0.27 | 0.99 | 9.90 |
| 0 | 10 | 6.26 × 10−14 | 6.42 × 10−13 | 0.28 | 0.99 | 10.27 |
| 0 | 12 | 4.94 × 10−15 | 9.20 × 10−14 | 0.40 | 0.99 | 18.62 |
| 0 | 14 | 5.58 × 10−16 | 6.52 × 10−15 | 0.30 | 0.99 | 11.68 |
| 1 | 0 | 1.65 × 10−14 | 1.43 × 10−13 | 0.25 | 0.99 | 8.64 |
| 1 | 2 | 1.19 × 10−13 | 1.12 × 10−12 | 0.26 | 0.99 | 9.42 |
| 1 | 4 | 6.70 × 10−14 | 7.70 × 10−13 | 0.30 | 0.99 | 11.49 |
| 1 | 6 | 4.54 × 10−14 | 4.62 × 10−13 | 0.29 | 0.98 | 10.17 |
| 1 | 8 | 1.13 × 10−13 | 1.35 × 10−12 | 0.31 | 0.99 | 11.95 |
| 1 | 10 | 2.77 × 10−14 | 3.06 × 10−13 | 0.29 | 0.99 | 11.04 |
| 1 | 12 | 3.87 × 10−16 | 6.74 × 10−15 | 0.39 | 0.99 | 17.39 |
| 1 | 14 | 1.74 × 10−17 | 3.43 × 10−16 | 2.45 | 0.99 | 19.73 |
| 2 | 0 | 3.20 × 10−14 | 1.61 × 10−13 | 0.18 | 0.94 | 5.03 |
| 2 | 2 | 1.80 × 10−13 | 2.08 × 10−12 | 0.31 | 0.99 | 11.52 |
| 2 | 4 | 9.45 × 10−14 | 1.36 × 10−12 | 0.36 | 0.99 | 14.35 |
| 2 | 6 | 1.39 × 10−13 | 1.77 × 10−12 | 0.33 | 0.99 | 12.75 |
| 2 | 8 | 5.59 × 10−14 | 8.07 × 10−13 | 0.36 | 0.99 | 14.44 |
| 2 | 10 | 2.33 × 10−15 | 1.96 × 10−14 | 0.25 | 0.98 | 8.41 |
| 3 | 0 | 4.70 × 10−14 | 6.90 × 10−13 | 0.44 | 0.95 | 14.67 |
| 3 | 2 | 1.61 × 10−13 | 2.31 × 10−12 | 0.44 | 0.94 | 14.34 |
| 3 | 4 | 1.84 × 10−13 | 3.85 × 10−12 | 0.45 | 0.98 | 20.88 |
| 3 | 6 | 6.04 × 10−14 | 4.29 × 10−13 | 0.43 | 0.82 | 7.10 |
| D + D2(v = 4, j = 0) | ⟶ | D + D2(v′, even j′) reaction | ||||
| v′ | j′ | NGP rate (cm3/s) | GP rate (cm3/s) | 〈cosΔ〉 | ||
| 0 | 6 | 2.22 × 10−17 | 2.63 × 10−16 | 0.57 | 0.88 | 11.83 |
| 0 | 8 | 3.73 × 10−17 | 2.18 × 10−16 | 0.32 | 0.83 | 5.86 |
| 1 | 6 | 1.17 × 10−17 | 2.60 × 10−16 | 1.00 | 0.91 | 22.21 |
| 1 | 8 | 1.99 × 10−17 | 2.28 × 10−16 | 0.30 | 0.99 | 11.45 |
| 1 | 14 | 2.46 × 10−16 | 2.19 × 10−16 | 1110.0 | −0.99 | 0.89 |
| 2 | 0 | 5.29 × 10−16 | 4.84 × 10−16 | 0.27 | −0.05 | 0.91 |
| 2 | 2 | 7.32 × 10−17 | 2.42 × 10−16 | 1.66 | 0.55 | 3.30 |
| 2 | 4 | 9.43 × 10−17 | 3.03 × 10−16 | 4.25 | 0.67 | 3.21 |
| 2 | 6 | 5.23 × 10−17 | 6.87 × 10−16 | 0.35 | 0.98 | 13.14 |
| 3 | 0 | 3.31 × 10−15 | 5.15 × 10−16 | 0.24 | −0.92 | 0.16 |
| 3 | 2 | 7.96 × 10−16 | 2.43 × 10−16 | 1.72 | −0.55 | 0.31 |
| 3 | 4 | 3.59 × 10−16 | 1.40 × 10−15 | 0.23 | 0.76 | 3.90 |
| 3 | 6 | 2.35 × 10−16 | 8.08 × 10−17 | 0.32 | −0.57 | 0.34 |
| T + T2(v = 4, j = 0) | ⟶ | T + T2(v′, even j′) reaction | ||||
| v′ | j′ | NGP rate (cm3/s) | GP rate (cm3/s) | 〈cosΔ〉 | ||
| 2 | 0 | 2.20 × 10−16 | 1.18 × 10−16 | 0.50 | −0.32 | 0.54 |
| 3 | 0 | 3.89 × 10−15 | 5.88 × 10−16 | 0.24 | −0.94 | 0.15 |
| 3 | 2 | 4.79 × 10−16 | 2.76 × 10−16 | 0.02 | −0.98 | 0.58 |
| 3 | 4 | 3.38 × 10−16 | 1.10 × 10−16 | 0.07 | −0.99 | 0.33 |
| 3 | 6 | 3.31 × 10−16 | 7.98 × 10−17 | 0.23 | −0.78 | 0.24 |
III. CONCLUSIONS
All of the rotationally resolved rate coefficients for the H + H2(v = 4, j = 0) → H + H2(v′, j′) (para-para) reaction show significant GP effects at ultracold collision energies. The GP computed rates are approximately 10 times larger than the NGP rates. The rotationally resolved rates add constructively leading to large GP effects (≈10 ×) in both the vibrationally resolved and total rates. At higher collision energies near 1 K dramatic differences between the GP and NGP computed rate coefficients also occur due to the appearance of shape resonances. In particular, the GP results predict the appearance of an l = 2 shape resonance at Ec = 8.36 K whereas the NGP calculations do not. Also, the NGP calculations show a prominent l = 1 shape resonance near 1 K which is absent in the GP rates. Significant GP effects in the rotationally resolved DCSs are also seen. At ultracold collision energies, the magnitude of the GP computed DCS for v′ = 3, j′ = 0 is approximately 10 times larger than the NGP one. For higher collision energies between 1 and 10 K, the GP dramatically alters the oscillatory structure of the DCS in both energy and scattering angle. Due to the unique properties associated with ultracold collisions, quantum interference effects become significantly amplified. This can lead to very large GP effects in the theoretically predicted integral cross sections (or reaction rate coefficients) and DCSs. The results reported here provide several experimentally detectable signatures of the GP effect in cold/ultracold collisions of H with vibrationally excited H2.
The isotope effect on the ultracold GP and NGP rate coefficients was explored by carrying out additional calculations for the D + D2 and T + T2 reactions. These computations were restricted to total angular momentum quantum number J = 0 and s-wave scattering in the incident channel. Furthermore, to explore the sensitivity of the results to details of the interaction potential, computations were performed on the H3 potentials of Boothroyd et al.28 and Mielke et al.29 For H + H2 both potentials yielded state-to-state rate coefficients within 10% of each other with the GP rates dominating the NGP rates. For T + T2, the NGP rates were found to dominate over the GP rates for both potentials with a corresponding reversal of the sign of cosΔ, indicative of a change in bound state structure of the vibrationally adiabatic potentials compared to the H3 system. The D + D2 system exhibited similar behavior as the H + H2 system on the BKMP2 PES with the GP rates mostly dominating the NGP rates. However, for the Mielke et al. potential surface, the D + D2 system displayed a modulation of the GP and NGP rate coefficients for different final states with no overall GP effect in the total ultracold reaction rates. Thus, the D + D2 system on the potential surface of Mielke et al. appears to serve as a transitional case between H + H2 and T + T2. The GP effect in all of the ultracold rate coefficients presented here can be explained by the relative magnitude of the scattering amplitudes for reactive and non-reactive pathways and the sign of cosΔ. In our model, the latter is related to a change in bound state structure of the vibrationally adiabatic potential along the two scattering pathways. In this sense, the GP effect is directly correlated to the bound state spectrum of the triatomic complex, which is also reflected in the results on D + D2 and T + T2. Consequently, our simple model (invoking Levinson’s theorem) is able to account for the GP effect in all of the computed results without exception. However, when there is no modulation in the GP effect (i.e., no change in the sign of cosΔ for all product states as in H + H2), the large GP effect can also be explained by assuming Δ ≈ 0. In this case, the bound state structure is unaffected but the phase shift for each scattering pathway is small or comparable, with similar magnitude for the scattering amplitudes.
Acknowledgments
B.K.K. acknowledges that part of this work was done under the auspices of the US Department of Energy under Project No. 20140309ER of the Laboratory Directed Research and Development Program at Los Alamos National Laboratory. Los Alamos National Laboratory is operated by Los Alamos National Security, LLC, for the National Security Administration of the US Department of Energy under Contract No. DE-AC52-06NA25396. The UNLV team acknowledges support from the Army Research Office, MURI Grant No. W911NF-12-1-0476, and the National Science Foundation, Grant No. PHY-1505557.




