Ultracold molecules offer unprecedented opportunities for the controlled interrogation of molecular events, including chemical reactivity in the ultimate quantum regime. The proliferation of methods to create, cool, and confine them has allowed the investigation of a diverse array of molecular systems and chemical reactions at temperatures where only a single partial wave contributes. Here we present a brief account of recent progress on the experimental and theoretical fronts on cold and ultracold molecules and the opportunities and challenges they provide for a fundamental understanding of bimolecular chemical reaction dynamics.
I. INTRODUCTION
This spotlight article follows a similar article by David Chandler1 on “Cold and Ultracold Molecules: Spotlight on Orbiting Resonances” in 2010, the first of a series of such perspectives. Here we focus on more recent developments and on the prospects of ultracold molecules for controlled chemistry. In the following, “cold” and “ultracold” refer to translational temperatures between 1.0 mK and 1.0 K and below a mK, respectively. The true “ultracold” regime corresponds to translational temperatures at which only a single partial wave contributes (s-waves for bosons and distinguishable particles and p-waves for identical fermions). However, for some heavier molecules, the single partial wave regime may even be well below 1 μK.
Historically, the field of cold and ultracold molecules grew out of cold atom research and Bose-Einstein condensation of atomic gases, with most experimental and theoretical developments occurring in the atomic, molecular, and optical physics communities. Chemists have generally been slow to embrace the field, but in recent years a rapid shift has occurred with the prospect of controlled chemistry of ultracold molecules, in particular polar molecules. In this spotlight article, we provide an overview of recent progress on both the experimental and theoretical fronts, with particular emphasis on molecular interactions and chemical reactions in the cold and ultracold regimes. We do not attempt to provide a comprehensive review of the field of cold molecules but highlight some key developments on the experimental and theoretical fronts that will serve as catalysts for future work. Many excellent review articles have appeared in recent years.2–17 For a broader perspective, the interested reader is directed to Ref. 6 and the book on Cold Molecules edited by Krems, Stwalley, and Friedrich.8
Ultracold molecules enable the investigation of molecular interactions and chemical reactivity at an unprecedented level of detail. Reactant molecules can be prepared in specific quantum states, including vibrational, rotational, spin, and hyperfine levels, and their translational kinetic energies vary from the nanokelvin regime to the kelvin regime, depending on the method chosen to create them. Besides ultracold chemistry, cold and ultracold molecules present new opportunities for precision measurements,6 quantum information and quantum computing,6,18–21 and quantum simulation of many-body interactions,22,23 to name a few.
A. Methods for creation of cold and ultracold molecules
Currently available methods for producing cold and ultracold molecules include both direct cooling of pre-existing molecules and indirect methods such as photoassociation and magnetoassociation of ultracold atoms. Indirect methods rely on fusing previously cooled ultracold atoms (e.g., in a quantum degenerate gas) using resonant light (photoassociation)24–28 or magnetic field (magnetoassociation or Feshbach resonance method).29–31 A Feshbach optimized photoassociation method in which the photoassociation occurs in the vicinity of a Feshbach resonance has also been demonstrated.32,33 Direct methods allow the removal of kinetic energy from pre-existing molecules using a variety of schemes. Two widely used methods employ the helium buffer gas cooling34,35 and Stark or magnetic (Zeeman) deceleration techniques.7,13,17 These methods have been extensively discussed in recent review articles by Meerakker et al.17 and Hutzler et al.35 In the buffer gas cooling method, molecules are thermalized by elastic collisions with cold 3He atoms while in the Stark or Zeeman deceleration techniques, a time-varying electric or magnetic field is carefully applied to reduce the translational kinetic energy of the molecules. In the latter methods, cooling occurs only in the expanding gas, while the electric or magnetic fields essentially select a packet of molecules and change its laboratory frame velocity without affecting the phase space density and temperature. Patterson and Doyle36 and Lu et al.37 have extended the buffer gas cooling method to extract a beam of cold molecules by allowing them to escape through an aperture on the side of the buffer gas cooling cell. This can be operated in the “hydrodynamically enhanced” regime or an “effusive” regime to yield bright slow beams of translationally cold molecules and radicals for cold collision experiments. The method has been demonstrated for cold beams of O2,36 CaH,37 SrF,38 and benzonitrile.39 Buffer gas cooled molecules have also been used as a continuous source of cold molecules for cavity-enhanced direct frequency comb spectroscopy40 and enantiomer-specific detection of chiral molecules via microwave spectroscopy.41,42 The direct observation of conformational relaxation by collisions with He atoms in a cryogenic environment (∼6 K) has also been reported for the 1,2-propanediol molecule.43
Other direct techniques such as collisional cooling44 and rotating nozzle slowing and velocity filtering have been implemented.45–47 An optical Stark deceleration scheme utilizing optical dipole forces induced by pulsed fields has also been demonstrated.48 Rempe’s group49,50 has applied an opto-electrical method for cooling and collecting polar molecules in an electric trap. This approach based on Sisyphus cooling was recently demonstrated for the CH3F50 and formaldehyde (H2CO)51 molecules and it holds great promise for precision spectroscopy and collisional studies of cold and ultracold polar molecules. More recently, methods using merged supersonic beams have been developed where a magnetic quadrupole guided beam crosses at a small angle with another supersonic beam so that the relative velocity of the collision is small.52–58 A time-of-flight mass spectrometer is then used to analyze the collision products. In this case, the relative energies can be varied all the way from the mK ranges to thermal energies by adjusting the angle between the two colliding beams. Collisional or “sympathetic” cooling in which a laser cooled atom (typically an alkali metal or alkaline earth metal atom) collisionally thermalizes another species (atom, molecule, or ion) has also been explored. For the method to be viable, the rate of elastic (thermalization) collisions must be at least a factor of 100 larger than any inelastic loss or quenching process. This approach is widely employed in creating cold atomic gases as well as atomic and molecular ions in ion-trap experiments59–62 but its efficacy for neutral molecules is yet to be demonstrated.
While the prospect of direct laser cooling of pre-existing molecules is appealing, in practice it is very difficult due to the complex level structure of molecules. Thus, unlike atoms, a closed cycling transition is not available for molecules and laser cooling is not practical for most molecular systems. However, DeMille and coworkers have demonstrated the possibility of laser cooling of a certain class of diatomic molecules with predominantly diagonal Franck-Condon matrices. They first demonstrated the technique for SrF.63–65 More recently, Hummon et al.66 have applied the scheme to cool YO while Zhelyazkova et al.67 have demonstrated it for the CaF molecule.
The various techniques described above allow the investigation of molecular interactions at sub-kelvin temperatures and in some cases, in the μK and nK temperature regimes. An in-depth review of these methods or survey of molecular systems that have been subjected to these techniques is beyond the scope of this article. We refer to the recent review articles for a detailed description.6,8,15–17 Table 1 of Schnell and Meijer7 as well as Lemeshko et al.15 provides a list of neutral molecules confined in external field traps.
B. Why ultracold molecules
What makes cold and ultracold collisions fascinating is the combination of low velocities and large de Broglie wavelengths, along with ultimate resolution of initial quantum states at the spin and hyperfine level. In typical room temperature (T = 298 K) collisions of simple diatomic molecules like CO, the thermal de Broglie wavelength, , where M is the mass of the molecule, is about one tenth of the molecular size while at T = 1.0 μK, the de-Broglie wavelength grows by a 10 000 fold. (We will interchangeably use kinetic energy and temperature in kelvin. They are related through the Boltzmann constant kB, as Ekin ≈ kBT. One may also define corresponding temperatures for rotational and vibrational degrees of freedom but they are not necessarily cold. Ultracold molecules may be created in highly excited vibrational levels as in photoassociation or magnetoassociation.) It must be emphasized that the energy scale involved in exoergic reactions at cold and ultracold temperatures is enormous. For instance, if the relative collision energy of the reactants is in the μK range and the reaction exoergicity is on the order of an electron volt (∼104 K), the products separate with an energy that is up to 9-10 orders of magnitude larger than the incident kinetic energy. Such “violent” outcomes in an otherwise gentle interaction and the large variation (1010-fold) in energy between relative motion of the products compared to reactants are not present in “normal” chemical or physical processes. This unprecedented dynamic range poses significant challenges in detecting reaction products and analyzing their quantum states. Also, long-range forces play a dominant role in cold and ultracold collisions. This brings up the most fascinating aspect of cold collisions and cold chemistry: can we control chemical reactions by influencing long-range forces? The answer appears to be yes, at least in cases where the long-range forces can be modified by external electric and/or magnetic fields. In the widely publicized experimental studies performed at JILA, collisions of ultracold fermionic 40K87Rb molecules prepared in different hyperfine states are explored.68 In collisions of identical fermionic molecules, the lowest allowed partial wave is a p-wave. In this case, the p-wave barrier, which is larger than the collision energy, prevents the molecules from approaching the chemically relevant region and suppresses the reactivity. When the molecules are prepared in two different hyperfine levels, s-wave collisions are allowed and no-angular momentum barrier exists for the reaction leading to an order of magnitude increase in reactivity. Though a reaction occurs only when the two molecules approach in close proximity, the process can be controlled at large separations by a spin flip. This is not possible at ordinary temperatures as initial preparation of the molecules in specific spin and hyperfine levels is not practical and a range of angular momentum partial waves contribute in thermal energy collisions. Collisional outcomes are also influenced by quantum statistics depending on whether collision partners are fermions or bosons.
An important barrier that prevents widespread experiments on ultracold molecules is the difficulty in preparing dense samples of molecules in specific quantum states and well defined translational kinetic energies. The lifetimes of trapped molecules are restricted by collisions with inelastic and reactive scatterings leading to trap loss. Also, the variety of molecules that can be cooled and trapped depends on the experimental scheme. While the buffer gas cooling combined with magnetic trapping can in principle be applied to any molecular system with an unpaired electron, its success is tied to how quickly the helium buffer gas can be pumped out and the ratio between elastic and inelastic collision rates. Elastic collisions lead to thermalization and cooling while inelastic collisions lead to energy release and heating, often resulting in loss of trapped molecules. Thus, the relative efficiency of elastic vs inelastic collision rates between the He buffer gas and the molecule is an important parameter that predicts the efficacy of buffer gas cooling. The same ratio of elastic to inelastic collision rates between self-collisions of trapped molecules is also a factor that determines the lifetime of trapped molecules. If molecules are prepared in their absolute ground state, inelastic collisions are not present (provided, no reactive scattering occurs), and the lifetime is no longer restricted by collisions. Methods based on photoassociation and magnetoassociation generally create highly vibrationally excited molecules but recent STIRAP-based techniques68,69 have been successful in transferring them to their absolute rovibrational ground state.
There is a considerable interest in ultracold polar molecules. Due to strong dipole-dipole interactions, ultracold polar molecules are amenable to control in an external electric field.70–73 If they also have an unpaired electron as in OH, for example, both electric and magnetic fields can be used to control their interaction as shown in recent calculations of OH–OH collisions by Quéméner and Bohn.73 These systems have attracted much interest lately due to the simulation of many-body interactions mediated by dipolar forces, controlled studies of ultracold collisions and reactions in optical lattices, and the ability to produce novel quantum gases. Stuhl et al.72 have recently reported the evaporative cooling of OH down to 50 mK, and further reduction in temperature to yield a quantum degenerate gas of OH may be achievable in the near future.
On the theoretical front, many significant challenges remain both at the electronic structure theory level and for the nuclear dynamics describing the collision process. Because collisions become very sensitive to small changes in the interaction potential, an accurate treatment of the long-range intermolecular forces is crucial for a quantitative description of ultracold collisions. The energy eigenvalue spectrum, especially of the weakly bound complex that is accessed in ultracold collisions, is also influenced by short-range forces. Thus, an accurate description of molecular interaction requires precise determination of both the short and long-range forces. While important progress in electronic structure theory has been made in recent years in describing long-range forces, many barriers remain, especially for molecules with an open-shell character. For high-spin open-shell systems with well defined molecular orbitals at the Hartree-Fock level, the spin-unrestricted coupled-cluster with perturbative triples correction (UCCSD(T)) may be adopted. However, open-shell systems that are not high spin and that have strong multireference character continue to pose a real challenge. For the quantum dynamics description of the nuclear motion, the ultracold regime introduces many additional complications. Although one needs to include only a few partial waves, due to the importance of long-range forces, the radial Schrödingier equation must be integrated to extremely large separations before scattering boundary conditions can be applied. Asymptotic matching can only be done when the interaction potential is negligible compared to the collision energy, which normally occurs at hundreds or, in some cases, thousands of bohr radii compared to, typically 15-20 bohrs in thermal energy collisions. Some recent developments based on multichannel quantum defect theory (MQDT)74–81 that simplify the dynamics in the long-range are discussed later in this article. Additionally, inclusion of external electric and magnetic fields significantly increases the number of coupled-channel (CC) equations making the calculations extremely challenging. The number of coupled equations can increase quite rapidly, reaching as high as 10 000-30 000 for relatively simple systems such as LiF + H and NH + NH in external fields.82,83 Since arithmetic operations in quantum CC calculations grow as N3 where N is the number of channels, calculations become prohibitively expensive by traditional approaches for N > 10 000. Thus, the development of computationally efficient methods to accurately characterize ultracold collisions and reactions is of utmost interest.
The article is organized as follows: In Section II we give an overview of recent experiments that illustrate the kind of control that is possible for the study of chemical reactions in the ultracold regime. In Section III we briefly review the theoretical formalism and highlight the state-of-the-art methodologies that have been developed to characterize cold and ultracold molecular collisions and reactions with and without the inclusion of external fields. In Section IV, we discuss recent progress in simplified theories of ultracold reactions using the MQDT and other models based on long-range potentials. In Section V we discuss geometric phase effects in ultracold chemistry and how it may be exploited to control the outcome of ultracold chemical reactions. In Section VI we highlight challenges and future prospects for ultracold molecules and controlled chemistry.
II. EXPERIMENTAL STUDIES OF COLD AND ULTRACOLD REACTIONS AND INELASTIC COLLISIONS
There is a long history of experimental investigations of chemical reaction dynamics at temperatures below 100 K, motivated in large part due to the interest in these processes in astrophysical environments. Crossed molecular beam techniques pioneered by Lee and Herschbach84,85 have formed the basis of many of these experiments. More recently, the CRESU (Cinétic de Réaction en Ecoulement Supersonique Uniforme) technique86,87 has enabled investigation of gas phase chemical reactions in the 1-100 K range. Many neutral atom-molecule and molecule-molecule reactions involving radical species have been studied by these techniques with impressive results. However, these methods cannot reach the sub-kelvin temperatures needed for cold and ultracold collisions. Photoassociation,26–28 Feshbach resonance,88–94 Stark and magnetic deceleration,7,13,17 cryogenic helium buffer gas cooling,34,35 and merged beam techniques52–57 continue to be the preferred methods to produce cold and ultracold molecules and explore their properties. Thus far, only laser cooling, photoassociation, and magnetic Feshbach resonance techniques were able to create ultracold molecules. Here we highlight some key results that have been reported in recent years with particular emphasis on chemical reactivity and inelastic scattering.
The ultimate example of the level of control that can be achieved for a chemical reaction is illustrated in the elegant experiments on KRb molecules reported by Ospelkaus et al.68 They used the isotopes 40K (nuclear spin IK = 4) and 87Rb (IRb = 3/2) to yield fermionic KRb molecules. In this scheme, ultracold K and Rb atoms, cooled to quantum degeneracy, are fused with a magnetic Feshbach resonance to yield ultracold KRb molecules in highly excited vibrational levels. These initially excited KRb molecules were subsequently transferred to the lowest energy level of the ground electronic state through a one-step two-photon transfer process similar to the STIRAP technique.69 The KRb molecules are prepared in the two lowest quantum states (v = 0, N = 0, mI = − 4, 3/2 and v = 0, N = 0, mI = − 4, 1/2) where refers to the hyperfine state of the KRb molecule. See Fig. 1 of Ref. 68 for an illustration of the energy level diagram indicating the hyperfine splitting in this system. The energy level separation between the two hyperfine states is an order of magnitude larger than the thermal energy of the gas which is about 300 nK. They investigated several different collisional processes involving KRb + KRb and K/Rb + KRb. In collisions of two identically prepared fermionic 40K87Rb molecules (both in the same quantum state) s-wave scattering is not allowed. The lowest allowed partial wave is a p-wave and at the collision energies of a few hundred nK the collision occurs below the p-wave centrifugal barrier. Thus, the primary mechanism for a chemical reaction involves tunneling through the p-wave barrier leading to K2 + Rb2 products (the only energetically allowed product channel). The overall loss rate for this process was found to be on the order of 1.2(±0.2) × 10−5 cm3 s−1 K−1 at 250 nK or a rate coefficient value of 3.3(±0.7) × 10−12 cm3 s−1 at 250 nK for collisions of two KRb molecules prepared in either the | − 4, 1/2〉 or | − 4, 3/2〉 hyperfine states. Note that the rate coefficient is temperature-dependent for p-wave collisions. When the collision partners are prepared in a 50-50 mixture of the two different hyperfine levels indicated above, the restriction of p-wave scattering is lifted and s-wave scattering is allowed. Thus, collisions can occur without any angular momentum barrier and the resulting rate coefficient of 1.9(±0.4) × 10−10 cm3 s−1 is nearly two orders of magnitude larger than the indistinguishable case. The time-evolution of the KRb number density is shown in panel (a) of Fig. 1 while the temperature dependence of the rate coefficients is shown in panel (b). Therefore, by merely flipping the nuclear spin of the collision partner, the reaction rate can be modified (controlled) by about two orders of magnitude. Their experiment also revealed that the reaction occurs through a barrierless pathway (except for the centrifugal barrier for p-wave scattering). In a subsequent experiment, de Miranda et al.71 showed that the reaction rate between two identically prepared KRb molecules can be suppressed by two orders of magnitude when an optical lattice is used to confine the molecules in a quasi-two-dimensional, pancake-shaped geometry, with the dipoles oriented along the confinement direction. In such tight confinement geometries, only “side-by-side” collisions are allowed under the repulsive dipole-dipole interaction. Thus, Fermi statistics combined with tight confinement in an optical lattice by an applied electric field allows controlled quantum stereodynamics of ultracold chemical reactions.
Time-dependence of the KRb molecular density due to inelastic and reactive collisions of the molecules (left panel). The KRb molecules are prepared in a single hyperfine state | − 4, 1/2〉. (Right panel) Temperature dependence of the decay rate coefficient when the KRb molecules are prepared in hyperfine states | − 4, 1/2〉, | − 4, 3/2〉, or a 50/50 mixture of the two components. The decay rate is similar and about an order of magnitude smaller when the molecules are prepared in either of the two hyperfine states compared to the 50/50 mixture. The former occurs through p-wave collisions whereas the latter permits s-wave collisions. See Ref. 68 for additional details. Reproduced with permission from S. Ospelkaus et al., Science 327, 853 (2000). Copyright 2000 AAAS.
Time-dependence of the KRb molecular density due to inelastic and reactive collisions of the molecules (left panel). The KRb molecules are prepared in a single hyperfine state | − 4, 1/2〉. (Right panel) Temperature dependence of the decay rate coefficient when the KRb molecules are prepared in hyperfine states | − 4, 1/2〉, | − 4, 3/2〉, or a 50/50 mixture of the two components. The decay rate is similar and about an order of magnitude smaller when the molecules are prepared in either of the two hyperfine states compared to the 50/50 mixture. The former occurs through p-wave collisions whereas the latter permits s-wave collisions. See Ref. 68 for additional details. Reproduced with permission from S. Ospelkaus et al., Science 327, 853 (2000). Copyright 2000 AAAS.
Ospelkaus et al.68 also examined collisions of K and Rb atoms with KRb molecules. For K + KRb collisions, the exothermic reaction leading to the K2 + Rb product is energetically allowed while for Rb + KRb collisions the Rb2 + K product channels are not accessible at the temperatures of the experiment. This was consistent with their experimental finding. Because s-wave scattering is allowed, the reaction rate was found to be 1.7(±0.4) × 10−10 cm3 s−1 for K + KRb collisions, comparable to the distinguishable dimer-dimer case. However, for Rb + KRb collisions an inelastic rate coefficient of about 0.13(±0.04) × 10−10 cm3 s−1 was reported. This value, about an order of magnitude smaller than that of K + KRb collisions, was attributed to other inelastic processes involving vibrationally excited KRb molecules present as a contaminant because the chemical reaction pathway was not available. The time-dependence of the KRb number density and its decay rate with either K or Rb atom density is shown, respectively, in panels (a) and (b) of Fig. 2.
Time-dependence of the KRb molecular density due to inelastic and reactive collisions with K or Rb atoms (left panel). The rapid decay when a K atom is the collision partner is due to chemical reaction leading to the K2 + Rb product. (Right panel): KRb decay rate with atom density. The rapid decay with respect to the increase in K atom density is due to an exothermic reaction leading to the K2 + Rb product. No energetically allowed reaction channels are available when Rb is the collision partner and the molecule density is unaffected by the presence of Rb atoms. Reproduced with permission from S. Ospelkaus et al., Science 327, 853 (2000). Copyright 2000 AAAS.
Time-dependence of the KRb molecular density due to inelastic and reactive collisions with K or Rb atoms (left panel). The rapid decay when a K atom is the collision partner is due to chemical reaction leading to the K2 + Rb product. (Right panel): KRb decay rate with atom density. The rapid decay with respect to the increase in K atom density is due to an exothermic reaction leading to the K2 + Rb product. No energetically allowed reaction channels are available when Rb is the collision partner and the molecule density is unaffected by the presence of Rb atoms. Reproduced with permission from S. Ospelkaus et al., Science 327, 853 (2000). Copyright 2000 AAAS.
While experiments of comparable detail as the KRb study are yet to be replicated for other systems, many other studies have been reported in the last few years. Wang et al.95 investigated ultracold collisions of 6Li2 with Li, Na, and Li2 molecules. They found that when the collision partner of 6Li2 is Na or another 6Li2, rapid loss occurs consistent with the universal model that predicts a near-unity probability for a reaction.74,75 In these systems, the specific nature of short-range forces is not important and once the short-range region is accessible inelastic loss occurs at 100% efficiency. However, when the collision partner is another 6Li atom, collisional loss is suppressed by more than an order of magnitude, indicating significant departure from the universal behavior. The lower reactivity is explained based on a smaller density of states for the lighter system. Unlike the KRb experiments, the molecules were formed in the highest vibrational state in the vicinity of a narrow Feshbach resonance and the inelastic loss mechanism may include both vibrational quenching and chemical reaction.
Singh et al.96 have recently reported measurements of chemical reactivity in collisions of Li and CaH leading to LiH + Ca products at ∼1 K. The process is exoergic by about 10 500 K. The reactant molecules were prepared in a cryogenic buffer-gas cooling apparatus and the LiH product molecules were detected using laser-induced fluorescence (LIF) by exciting them on the A1Σ(v′ = 5, j′ − 1)←X1Σ(v″ = 2, j″ = 0) transition at 401 nm. Although the LiH products are formed with high kinetic energy due to the large exoergicity of the reaction, they are quickly thermalized to the helium buffer gas temperature in about 100 μs. Rotational levels are more quickly relaxed in collisions with the buffer gas leading to rotational temperatures of ∼1 K, similar to the buffer gas temperature. However, due to low efficiency for vibrational quenching in helium collisions, the vibrational levels are relaxed on a longer timescale. This allows for the observation of excited vibrational levels and measurement of the product vibrational distribution in cold collisions. However, due to calibration issues, product vibrational resolution was not achieved in their experiments. They reported an overall reaction rate coefficient of about 3.6 × 10−10 cm3 s−1 at 1 K with a factor of 2 uncertainty.
There has also been significant progress in crossed molecular beam studies of inelastic collisions and chemical reactions in the near-cold regime.97 In crossed molecular beam experiments with laboratory frame velocities v1 and v2 and reduced mass μ for the colliding species, the collision energy in the center-of-mass frame (the relative translational energy) is given in terms of the relative velocity vr by , where χ is the beam intersection angle. The minimal relative collision energy is for v1 = v2. Thus, small beam intersection angle and low velocities for both beams are needed for attaining low collision energies in crossed beam experiments. Using this technique, Lara et al.98 reported experimental and theoretical studies of the S(1D2) + HD(j = 0) reaction at energies ranging from 0.46 meV to 54.2 meV. Explicit measurements of integral cross sections for the HS + D and DS + H products and their branching ratios were compared with time-independent coupled channel quantum calculations. While good agreement with experiment was obtained for energies above 10 meV, neither the low energy resonance features (1.5-5 meV range) in the HS + D product channel nor the branching ratios were reproduced by the theoretical calculations. The discrepancy was attributed in part to the restriction of a single adiabatic electronic potential energy surface (PES) for the scattering calculations. Several studies of inelastic collisions have been reported97,99,100 using this technique. Measurements of rotational excitation cross sections in CO and O2 induced by collisions with ortho- and para-H2 molecules have recently been reported by Chefdeville et al.99–101 Ortho-H2 (nuclear spin = 1) and para-H2 (nuclear spin = 0) refer to two nuclear spin states of H2 characterized by odd and even rotational levels, respectively. At these temperatures, several partial waves contribute leading to broad resonances in the energy dependence of the cross sections.
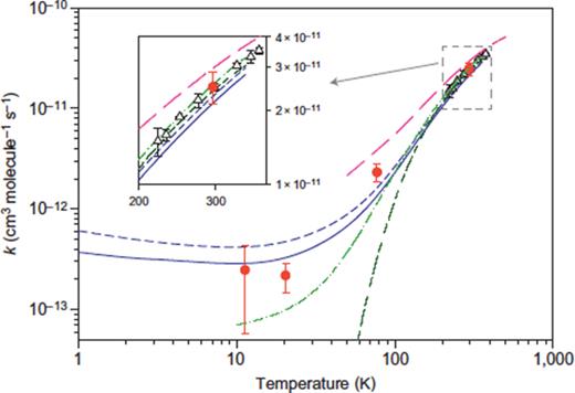
Recently, Tizniti et al.87 applied the CRESU technique to study the F + H2 reaction at 10-100 K. In the CRESU technique, low temperature is achieved by isentropic expansion of a buffer gas through convergent-divergent Laval nozzles. Pure H2 was used as both the buffer gas and the reactant molecule with F atoms generated by photolysis of F2. Rate coefficients from these measurements were found to be in good agreement with quantum scattering calculations when the open-shell character of the fluorine atom and the effect of spin-orbit coupling were included. See Fig. 3, taken from Tizniti et al.,87 that provides a comparison of the experimental and various theoretical calculations. The comparisons show that despite progress in electronic structure calculations the different PESs lead to rate coefficients that differ by nearly an order of magnitude in the 10–60 K regime. Photodetachment spectroscopy of anionic species has been widely used to probe reactive scattering resonances.106 In a recent study, Kim et al.107 reported direct observation of reactive scattering resonances in the F + H2 and F + D2 reactions via photodetachment of FH and FD anions. The resonance peaks were accurately predicted by theoretical calculations using the F + H2 PES of Lique et al.102 which was also employed in the work of Tizniti et al.87
Temperature dependence of the rate coefficients for the F + H2(v = 0) → HF + H reaction. The symbols represent experimental data and the various curves denote quantum dynamical calculations with different potential energy surfaces and dynamics approximations. The filled red circle with error bars corresponds to the latest experimental result of Tizniti et al.87 The solid and dashed blue curves correspond to theoretical calculations of Tizniti et al. with and without spin-orbit coupling in the fluorine atom using the PESs of Lique et al.102 The long-dashed red line and green dashed dotted lines correspond to theoretical calculations of Zhu et al.103 on the SW PES104 and Aquilanti et al.105 on a modified version of the SW PES, respectively. See Tizniti et al.87 for more details. Reproduced with permission from M. Tizniti et al., Nat. Chem. 6, 141 (2014). Copyright 2014 Nature Publishing Group.
Temperature dependence of the rate coefficients for the F + H2(v = 0) → HF + H reaction. The symbols represent experimental data and the various curves denote quantum dynamical calculations with different potential energy surfaces and dynamics approximations. The filled red circle with error bars corresponds to the latest experimental result of Tizniti et al.87 The solid and dashed blue curves correspond to theoretical calculations of Tizniti et al. with and without spin-orbit coupling in the fluorine atom using the PESs of Lique et al.102 The long-dashed red line and green dashed dotted lines correspond to theoretical calculations of Zhu et al.103 on the SW PES104 and Aquilanti et al.105 on a modified version of the SW PES, respectively. See Tizniti et al.87 for more details. Reproduced with permission from M. Tizniti et al., Nat. Chem. 6, 141 (2014). Copyright 2014 Nature Publishing Group.
Narevicius and co-workers have recently made significant advances in using merged supersonic beams to study the Penning ionization (PI) process over energies ranging from 10 mK to 100 K.52–55 The process is described as A∗ + B → A + B+ + e− and is an electron transfer reaction. It occurs when the ionization potential of B is less than the internal energy of A∗. They investigated and the effect of isotope substitution of H2 by performing similar measurements for HD and D2.53–55 It was found that isotope substitution has a significant effect on the ionization process with an order of magnitude difference in the reaction rate coefficient at certain collision energies. This was attributed to shape resonances that occur at different collision energies for the different isotopes. Figure 4 shows the observed isotope effect in their experiments.55 Jankunas et al.56,57 have recently extended these studies to polyatomic molecules, CH3F and NH3/ND3, by collisions with an electronically excited neon atom in the 3P2 state. For methyl fluoride, they reported PI cross sections in the energy range 13 μeV-4.8 meV. For the ammonia system, the energy range was 8 μeV–20 meV. Interestingly, no significant isotope effect was observed for the NH3/ND3 system. In addition to PI, they also observed a reaction channel, leading to Ne + NH2+ + H + e− products. The branching ratio, , remained approximately 0.3 over the entire energy regime. A similar study of the Penning ionization of NH3 by an electronically excited He(3S1) was reported by Jankunas et al.58 in the energy range 3.3 μeV-10 meV. Two resonance peaks in the integral cross section at 1.8 meV and 7.3 meV were assigned to partial waves l = 15, 16 and l = 20, 21, respectively.
Penning ionization rates of H2 (top panel), HD (middle panel), and D2 (bottom panel) in collisions with metastable He∗(23S) as functions of the collision energy. The symbols are the experimental data and the curves correspond to different theoretical predictions with different scaling factors for the interaction potential. Reproduced with permission from E. Lavert-Ofir et al., Nat. Chem. 6, 332 (2014). Copyright 2014 Nature Publishing Group.
Penning ionization rates of H2 (top panel), HD (middle panel), and D2 (bottom panel) in collisions with metastable He∗(23S) as functions of the collision energy. The symbols are the experimental data and the curves correspond to different theoretical predictions with different scaling factors for the interaction potential. Reproduced with permission from E. Lavert-Ofir et al., Nat. Chem. 6, 332 (2014). Copyright 2014 Nature Publishing Group.
Numerous experiments of inelastic non-reactive collisions of cold and ultracold molecules with atomic and molecular counterparts have been reported in the last decade. These include collisions of CaH, CaD, NH, and OH with He atoms based on the buffer gas cooling experiments.34,35 A combined experimental and theoretical investigation of cold N + NH collisions was reported by Hummon et al.108 at a temperature of about 570 mK. Atomic nitrogen and NH were co-trapped using the buffer gas cooling method and the measured trap loss rate coefficient of 9(5) × 10−13 cm3 s−1 was found to be in close agreement with explicit quantum scattering calculations by the same authors. Similarly, Stark deceleration of OH and its inelastic collisions with He, D2, NH3/ND3, and NO have also been reported.109–113 Absolute cross sections for rotationally inelastic and spin-orbit transitions in Stark-decelerated OH with a hexapole state-selected beam of NO were reported by Kirste et al.114 for collision energies between 70 and 300 cm−1. Results were found to be in excellent agreement with quantum close-coupling calculations on coupled PESs for these radical-radical systems. In a subsequent study, Vogels et al.115 reported ultrahigh-resolution measurements of differential cross sections for state-to-state inelastic transitions in Stark decelerated NO induced by Ne and Ar atoms. An angular resolution of 0.3∘ was achieved for the differential cross section. A similar study of the NO–He system by Vogels et al.116 reported inelastic cross sections in the energy range of 13.0–19 cm−1 at an energy resolution of 0.3 cm−1. Resonances were observed both in the differential and integral cross sections and excellent agreement was obtained with results of quantum scattering calculations. Partial wave contributions to the resonances were analyzed using a partitioning of the multichannel scattering matrix and it was found that the computed results agree with the measured data only when the resonance contribution was included.
Simultaneous confinement of laser-cooled atoms and sympathetically cooled atomic or molecular ions provide exciting prospects for ultracold chemistry experiments.117–119 Cold reactive ion-molecule collisions are also of considerable interest.59,118 In this case, spatially ordered laser-cooled ions (“Coulomb crystals”) react with cold molecules from a quadrupole-guide velocity selector. The method was demonstrated for a reaction between cold Ca+ ions and CH3F molecules.59 The reaction leading to CaF+ ions and CH3 radicals is exoergic by 1.05 eV (12,174 K) but it is not clear what fraction of this goes into internal rovibrational excitations of the product molecules. The measured rate coefficient at ∼1 K was found to be about 1.3(6) × 10−9 cm3 s−1. This is about a factor of three larger than the room temperature value of 4.2(4) × 10−10 cm3 s−1. Hall and Willitsch118 have recently investigated the reaction between laser-cooled Rb atoms and sympathetically cooled N at a collision energy of about 20 mK. A highly efficient charge transfer that depends on the internal state of the Rb atom was observed, with a rate that is four times larger than the Langevin rate, for Rb in the excited (5p)2P3/2 state. Reactions of laser-cooled Rb atoms and Ba+ ions were also reported by Hall et al.119 Chang et al.60 recently extended this technique to study conformational effects in chemical reactions by investigating reactions of spatially separated 3-aminophenol with cold Ca+ ions. Spatial separation of conformers was achieved through electrostatic deflection of the molecular beam. The reactivity of the cis-conformer was found to be a factor of 2 larger than the trans-conformer (differentiated by the O–H bond orientation).
Rellergert et al.61 reported a chemical reaction rate coefficient of about 2.0 × 10−10 cm3 s−1 in collisions of 40Ca atoms with 174Y b+ ions confined in a hybrid trap. While initial calculations by the authors suggested a radiative charge transfer mechanism for the large rate coefficient, subsequent calculations by Zygelman et al.120 indicated an upper bound of 1.5 × 10−15 cm3 s−1 for radiative transfer in the 1 mK–1 K range. Thus, revised measurements with better characterization of the products and/or calculations with improved potential energy curves and non-adiabatic coupling may lead to insights into the discrepancy. Rellergert et al.62 also reported efficient vibrational cooling of trapped BaCl+ molecules by collisions with ultracold Ca atoms. For more details on charge transfer collisions and reactions of cold trapped ions, we refer to the recent reviews by Willitsch121 and Côté.122
Three-body recombination (TBR) is another example of a chemical reaction in which three atoms collide to form a dimer and the third atom carries the excess energy. Härter et al.123 recently reported explicit measurements of the vibrational, rotational, and hyperfine levels of 87Rb2 formed in TBR in an ultracold gas of 87Rb atoms. The process is Rb + Rb + Rb → Rb2 + Rb. The experimental setup involves a hybrid atom-ion trap consisting of an optical dipole trap superimposed on a radiofrequency ion trap. The rubidium dimers resulting from TBR were state-selectively ionized with a resonance enhanced multi-photon ionization (REMPI) technique and captured in the ion trap. By measuring the Rb ion production rate as a function of the frequency of the dipole-trap laser, Härter et al.123 were able to record a REMPI spectrum of Rb2 which allowed them to map out the quantum states produced in the TBR process.124 Results showed significant rotational excitation of the Rb2 molecule, a rather unexpected finding, considering that at the temperature of the experiment collisions occur predominantly in the s-wave regime. Clearly, further progress in experiment and theory is needed in characterizing product distributions in this important class of reactions. We hope the coming years will see many new techniques for characterizing product quantum states in ultracold chemical reactions.
While photoassociation allows the creation of ultracold molecules by light-assisted linking of ultracold atoms, photodissociation of ultracold molecules permits half-collision experiments with full control of the initial quantum state as well as continuum energy spread and quantum states of the dissociation products. Such an experiment was recently reported by McDonald et al.125 in which ultracold Sr2 dimers were created by photoassociation of laser cooled Sr atoms in a far-off resonant optical lattice. The strontium dimers are not covalently bound but have dissociation energies similar to hydrogen bonded water dimers. Photoassociation creates weakly bound dimers near the ground state (1S+1S) or the lowest singly excited state (1S+3P) dissociation thresholds. The frequency of the photodissociation laser is chosen such that the dissociated atoms appear at kinetic energies in the 0-15 mK range. The translationally cold photofragments emerge as a coherent superposition of matter waves and their angular distribution is accurately reproduced by quantum calculations.125 However, as expected, quasiclassical descriptions were not successful in describing the observed angular distribution. With improved imaging techniques and trapping methods, it might be possible to create photofragments in an optical lattice in well-defined quantum states with nanokelvin kinetic energies. This paves new avenues for creating novel quantum gases and exploring ultracold chemistry and hitherto unknown reaction mechanisms.
III. THEORETICAL DESCRIPTION OF ULTRACOLD COLLISIONS AND REACTIONS
An accurate description of collisions and reactions in ultracold gases requires a fully quantum mechanical treatment. The quantum numbers arising from spin and hyperfine levels and the effects of external electric and magnetic fields make the theoretical description of ultracold collisions, even in pure atomic gases, a considerable computational challenge. For atom-molecule and molecule-molecule systems the problem is considerably more complex due to inelastic and reactive channels. Time-dependent quantum mechanical methods,126–129 while computationally more efficient than the solution of the time-independent Schrödinger equation, appear to be not well suited for cold and ultracold collisions. This is due to long propagation times and sensitivity to absorbing potentials employed in time-dependent calculations. Thus, quantum CC calculations based on the solution of the time-independent Schrödinger equation continue to be the preferred approach for the description of cold and ultracold collisions. Therefore, many efficient computational techniques based on the solution of the time-dependent Schrödinger equation formulated in the last three decades are not implemented for ultracold collisions.
To a large extent the field of ultracold atoms and molecules would not have attained its current status had it not been for the close synergy between experiment and theory. Accurate theoretical determination of intermolecular potentials and scattering lengths for atom-atom collisions have been critical to the early success in cooling and trapping atoms. These include the realization of atomic Bose-Einstein condensation as well as molecule formation via photoassociation and Feshbach resonance techniques. Theoretical tools developed in the atomic, molecular, optical, and chemical physics communities have been instrumental in characterizing collisional properties of cold and ultracold gases. However, a new additional twist is the importance of electric and magnetic field induced energy level splitting, as well as spatial confinement effects on collisional outcomes. Thus, spin and hyperfine levels, their energy splitting as a function of magnetic field, change in dipolar forces in the presence of an electric field, and modification in quantum threshold laws due to spatial confinements (reduced dimensional collisions) need to be taken into account. The early works of Bohn and collaborators130–135 as well Krems and coworkers136–139 have had a significant impact on external field control of atomic and molecular collisions. A number of reviews published in recent years give a detailed description of the theoretical methods4–6,8,14,138 and only a general framework of the formalism is provided here.
Here we briefly outline the time-independent close-coupling approach, to introduce some key aspects of scattering, including complex scattering lengths that are widely used to characterize elastic and inelastic collisions in the ultracold regime. An excellent treatise of the theoretical frameworks of cold and ultracold collisions is given by Hutson.140 Using notations similar to that of Hutson, the Hamiltonian for an atom-diatom or diatom-diatom system may be written as
where ∇2 is the Laplacian operator for the intermolecular coordinate that includes the kinetic energy for the relative motion and the orbital angular momentum operator and μ is the reduced mass of the combined system. The term represents the molecular part of the Hamiltonian and τ collectively denotes all internal coordinates, except the relative motion coordinate R. The interaction potential is given by V(R, τ) which approaches zero as R → ∞. The standard approach of solving the Schrödinger equation involves expanding the total wave function in a suitable basis set,
where ϕj(τ) are basis functions and the expansion coefficients ψj(R) are the radial wave functions in channel j. The time-independent Schrödinger equation with the above expansion of the wave function leads to a set of coupled-channel equations in the radial coordinate R,
where E is the total energy and the coupling matrix Wij(R) is given by
The coupled channel equations are propagated from the deep classically forbidden region such that ψ(R) → 0 as R → 0 to a sufficiently large value R = Rmax where the matrix elements of the interaction potential V(R, τ) vanish. In field-free calculations of atom-diatom or diatom-diatom systems, the basis functions ϕj(τ) are often chosen as eigenfunctions of the molecular Hamiltonian . This simplifies the problem because the matrix elements become equal to the rovibrational energy levels of the separated molecule(s). When external fields are included in the molecular Hamiltonian, matrix elements of are not diagonal in this basis and a transformation of the asymptotic wave function or its log-derivative in a representation that diagonalizes is required before boundary conditions at Rmax are applied to determine the scattering S matrix.137 An uncoupled representation in which the angular part of the basis functions in Eq. (2) is taken to be a simple product of spherical harmonics is often employed in calculations involving external fields. In the presence of an external field, the total angular momentum of the system is not conserved but its projection M on a space-fixed axis is. Thus, calculations are generally carried out for various fixed values of M and for all contributing values of the orbital angular momentum quantum number l. In the absence of an external field, the total angular momentum (usually denoted by quantum number J) of the system is conserved and it is more convenient to adopt the widely used total angular momentum representation of Arthurs and Dalgarno141 to derive the close-coupled equations. This reduces the number of coupled equations and calculations are carried out separately for each value of J. Tscherbul and Dalgarno142,143 have recently shown that the total angular momentum representation can still be used in calculations involving external fields despite leading to some unphysical eigenvalues. However, this was shown to be of no significant consequence and converged results on atom-molecule collisions in electric fields are obtained using the total angular momentum representation with much less computational effort compared to the uncoupled representation.143
Regardless of the approach used, cross sections for elastic and inelastic scattering are expressed in terms of the S-matrix elements. In the s-wave limit, the elastic scattering cross section is given by
where n is a collective quantum number representing the initial (elastic) channel and kn is the corresponding wavevector. The degeneracy factor gi = 2 for indistinguishable systems and gi = 1 for distinguishable cases. The total inelastic quenching cross section becomes
In the limit of zero collision energy only s-wave scattering contributes (for bosons and distinguishable particles). The elastic channel S-matrix element may be written in terms of the scattering phase shift as Snn = e2iδn(kn), where δn(kn) is the elastic scattering phase shift which is complex when inelastic channels are present. One may introduce a complex scattering length,144,an = (αn − iβn) = − δn(kn)/kn as kn → 0, leading to Snn ≈ 1 + 2iδn(kn) = 1 − 2ikn(αn − iβn). The expressions for the cross sections now yield σin = 4πβn/(kn) and . Thus, it is seen that the elastic cross section attains finite values while the inelastic cross section diverges inversely as the velocity when the collision energy approaches zero. The inelastic rate coefficient, σinvrel = 4πβnħ/μ, where vrel is the relative velocity, becomes finite in the zero-temperature limit. This is the well-known Wigner limit,145 also referred to as the Bethe-Wigner regime. A detailed analysis of quantum threshold laws for various collision systems with different long-range potentials and spatial dimensionality is given in Ref. 146. Simbotin and Côté147 have recently examined analytical properties of elastic and reactive cross sections near the onset of Wigner regime when scattering resonances are present. In the above discussion, we have not discriminated between inelastic and reactive processes and the analysis applies to both, regardless of the process, provided the interaction potential vanishes faster than R−3. The scattering length allows a convenient parametrization of ultracold collisions, irrespective of the degree of difficulty of the numerical solution of the quantum coupled channel problem.
A. Early studies of inelastic rovibrational scattering in atom-diatom systems
Theoretical studies of rotationally and vibrationally inelastic scattering in atom-diatom systems reported in the late 1990s and early 2000s have been instrumental in the initial progress in both experimental and theoretical description of cold molecule research.148–151 These studies, initiated by Balakrishnan, Forrey and Dalgarno, and their collaborators, on the quenching of molecular rotations and vibrations in cold and ultracold gases have shown that the process may occur with significant rate coefficients at ultracold temperatures. They also established Wigner threshold behavior of quenching cross sections and parametrized limiting rate coefficients in terms of complex scattering lengths.144 Vibrational quenching of H2 by H and He impact was predicted to increase by about five orders of magnitude as the vibrational quantum number of the molecule was raised from zero to 14.148,149 These and subsequent studies3,4,150,152,153 explored the influence of long-range van der Waals interactions on the collisional outcome and examined the role of both shape and Feshbach resonances on rotational and vibrational relaxation at low temperatures. Forrey et al.151 showed that quasiresonant rotation-vibration transfers become prominent, often completely dominating the elastic collision cross section. Quasiresonant transitions involve simultaneous changes in rotational and vibrational quantum numbers such that the change in rotational quantum number is equal to an integer multiple of the change in vibrational quantum number. For example, Δj = − 2Δv or Δj = − 4Δv where Δj and Δv are changes in rotational and vibrational quantum numbers, dominate for He + H2 collisions for selected j values. The collisional studies were subsequently extended to He–CO, He–O2, Ar–H2, He–CaH, etc. Bodo et al.154 and Stoecklin et al.155 also explored rovibrational transitions in He–CO and other rare-gas molecule systems. Collisions involving atom-molecular ion systems and ion-neutral molecule systems have also been investigated. For more details, we refer to recent reviews.3,4,14,153,154
B. Quasiresonant rotational and vibrational transfer in molecule-molecule collisions
Molecule-molecule collisions are much more challenging than atom-diatom systems when rotational and vibrational degrees of freedom of both molecules are included. As a result, most studies of molecule-molecule systems have been restricted to the rigid-rotor case which neglects vibrational motion. It is only recently that full-dimensional quantum calculations of rovibrational transfer in H2 + H2 collisions were reported at cold and ultracold temperatures.156–160 While H2 is currently not experimentally amenable to ultracold collisional studies, it remains an important benchmark system for theoretical calculations. Moreover, efforts are underway, in the group of Zare and coworkers, for selective preparation of H2 molecules in specific vibrational, rotational, and magnetic projection quantum numbers.161–163
Unlike atom-diatom systems, molecule-molecule collisions allow simultaneous changes in rotational and vibrational quantum numbers of both molecules. Since the H2 molecule exists in both ortho and para-modifications, ortho-para conversion does not occur in non-reactive H2 + H2 collisions. Thus, calculations of para-para and ortho-ortho systems can be carried out separately. Because changes in rotational or vibrational quantum states in one molecule can be offset by similar changes in the other molecule (for identical particle collisions), molecule-molecule systems offer interesting opportunities for resonant and non-resonant energy transfer at cold and ultracold temperatures. Indeed, it has been found that in both para-para and ortho-ortho H2 collisions, quasiresonant rotation-rotation (QRRR) transfer occurs with high selectivity and efficiency.156 An example of such a transition is H2(v = 1, j = 0) + H2(v = 0, j = 2) → H2(v = 1, j = 2) + H2(v = 0, j = 0). In this case, a vibrationally excited para-H2 molecule picks up two units of rotational angular momenta from a vibrationally cold molecule. Though many other final states are possible with this initial pair of H2 molecules (referred to as (1,0,0,2) where the numbers denote (v1, j1, v2, j2) levels of the two H2 molecules), the final state is dominated by this specific transition that conserves the overall rotational angular momentum of the combined system. Figure 5 shows a few effective potential energy curves for this system, defined by Eq. (24) of Ref. 157, as functions of the intermolecular separation. The H2–H2 interaction potential of Hinde164 is used to evaluate the effective potentials. The two curves with nearly degenerate asymptotes (1,0,0,2) and (1,2,0,0) correspond to the initial and final states involved in the QRRR process. As Fig. 5 illustrates, the total internal energy is also nearly conserved in this process, the small difference arising from the centrifugal distortion of the v = 0 and v = 1 vibrational levels due to the j = 2 rotational level, leading to an energy deficiency of about 24.5 K. The process is found to dominate inelastic cross sections for collision energies from the ultracold up to about 100 K. This is illustrated in Fig. 6 in which cross sections for the QRRR process are compared with the total inelastic quenching cross section from a calculation that includes many more final states than shown in Fig. 5. It is seen that the total inelastic cross section is almost entirely composed of the QRRR process with the next leading inelastic process that involves pure rotational quenching, contributing less than 1%. Thus, the high efficiency and selectivity of the transition are attributed to the conservation of internal rotational angular momentum and nearly the conservation of internal energy.
Effective potential curves for interaction between two para-H2 molecules as a function of the molecule-molecule separation. The two nearly degenerate curves correspond to the two quasiresonant channels involved in the QRRR process discussed in the text. Reproduced with permission from J. Hazra et al., Phys. Rev. A 90, 032711 (2014). Copyright 2014 American Physical Society.
Effective potential curves for interaction between two para-H2 molecules as a function of the molecule-molecule separation. The two nearly degenerate curves correspond to the two quasiresonant channels involved in the QRRR process discussed in the text. Reproduced with permission from J. Hazra et al., Phys. Rev. A 90, 032711 (2014). Copyright 2014 American Physical Society.
Cross sections for QRRR transition H2(v = 1, j = 0) + H2(v = 0, j = 2) collisions. The QRRR transition leading to the H2(v = 1, j = 2) + H2(v = 0, j = 0) product dominates all other inelastic channels by more than two orders of magnitude. Reproduced from N. Balakrishnan et al., J. Chem. Phys. 134, 014301 (2011). Copyright 2011 AIP Publishing LLC.
Cross sections for QRRR transition H2(v = 1, j = 0) + H2(v = 0, j = 2) collisions. The QRRR transition leading to the H2(v = 1, j = 2) + H2(v = 0, j = 0) product dominates all other inelastic channels by more than two orders of magnitude. Reproduced from N. Balakrishnan et al., J. Chem. Phys. 134, 014301 (2011). Copyright 2011 AIP Publishing LLC.
A similar result is observed for ortho-ortho cases, such as (1, 1, 0, 3 → 1, 3, 0, 1).159,160 In this case, the energy gap is slightly larger, 42.5 K. However, in ortho-para H2 collisions rotational energy exchange between the two H2 molecules is not possible and the quasiresonant transition involves a vibrational energy exchange, such as H2(v = 0, j = 1) + H2(v = 1, j = 0) → H2(v = 1, j = 1) + H2(v = 0, j = 0).159,160 This quasiresonant vibration-vibration (QRVV) process has a smaller energy gap of about 8.5 K but it is orders of magnitude less efficient than the QRRR process. It is driven by the isotropic part of the interaction potential which depends only weakly on H–H separation (see Ref. 159 for details). Yang et al.165 have shown that both the QRRR and QRVV processes occur for all bound vibrational levels of H2 and that for certain H2 vibrational levels the process becomes even more efficient. This is attributed to the presence of zero-energy resonances close to the channel thresholds of these vibrational levels. The effect is similar to that of Feshbach resonances as a function of the magnetic field but in vibration space rather than magnetic field dependence. Near-resonant processes involving pure rotational energy transfer have been observed in collisions of rotationally excited HCl(j1 = 7) with para-H2(j2 = 2) leading to HCl(j1 = 9) + H2(j2 = 0).166 The energy deficit for the process is about 5.2 K and the process becomes dominant for energies below 100 K. Extensive calculations of rotational relaxation of CO by collisions with ortho- and para-H2 have been reported by Yang et al.167 for CO rotational levels j = 1–40 within the rigid rotor formalism. The relaxation pathway was found to be mostly dominated by Δj = − 1 transitions, for temperatures in the 1-1000 K range. In a more recent work, Yang et al.168,169 reported the first full-dimensional computation of rovibrational transitions in CO by H2 at temperatures ranging from 1-100 K. Complex scattering lengths for collisions of linear and non-linear polyatomic molecules, CO2, H2O and NH3, with He have recently been reported by Yang and co-workers.170 The ratio of the imaginary to real components of the scattering length, β/α, was found to generally increase with decreasing rotational constant. As the energy gap, ΔEr, for rotational transitions increases, β becomes significantly smaller than α. Interestingly, the imaginary part β appears to follow an exponential energy gap law of the form β = Pexp(ΔEr/Q) for both linear and non-linear molecules, where P and Q are fit parameters.
C. Inelastic scattering in the presence of external fields
Experimental studies of ultracold atoms and molecules invariably use external electric and/or magnetic fields. Thus, it is desirable to include external field effects in theoretical descriptions of atomic and molecular collisions in ultracold gases. This adds considerable complexities to the solution of the Schrödinger equation, and explicit calculations of ultracold molecular collisions in external fields have mostly resorted to rotational and spin/hyperfine transitions in the ground vibrational level. Krems and coworkers136,171 carried out one of the early studies of rotational and spin-changing collisions in CaH induced by He atoms. CaH was also the first molecular system successfully cooled and trapped by the helium buffer gas cooling method pioneered by Doyle’s group at Harvard.34 Subsequently, several other molecular systems have been successfully cooled and trapped by the buffer gas cooling and Stark decelerator methods. Experiments on OH, metastable CO, NH, NH3, ND3, and NO have been reported by various groups.14 Heavy molecules such as YbF and PbO have also been subjected to buffer gas cooling172–174 and explicit quantum calculations of fine and hyperfine interactions in collisions of cold YbF and He atom in the presence of electromagnetic fields have been reported.175 Buffer-gas cooled YbF molecules have also permitted sensitive measurements of the electric dipole moment of the electron.172 A detailed analysis of elastic and inelastic collisions of 2Σ molecules in magnetic fields and ratios of elastic to inelastic collisions has been presented by Cui and Krems.176 They showed that the ratio exceeds 100 for many molecules including BaF, CaF, CN, CaH, and BaH, suggesting favorable conditions for evaporative cooling of these molecules. The possibility of evaporative cooling of NH has been an important question and was theoretically addressed by Janssen et al.177,178 and Suleimanov et al.83 Initial studies83,177 supported the possibility of evaporative cooling of NH through NH–NH collisions once it has been cooled to mK temperatures by either the buffer gas method or the Stark decelerator method. Calculations of Janssen et al. used an unconverged basis set including only three rotational levels of NH, so their results are only qualitatively accurate. Computations of Suleimanov et al.83 using the more efficient total angular momentum representation enabled a larger basis set with 7 rotational levels of the NH molecule and improved convergence. These computations represent one of the largest CC calculations with nearly 19 000 coupled-channels. An uncoupled-representation with the same number of coupled-channels would require nearly double the number of channels making such calculations computationally prohibitive. More recent calculations of Janssen et al.178 indicated that reactive collisions through spin-exchange dominate at energies below 1 mK limiting the possibility of evaporative cooling of NH. This will be discussed in more detail in Subsection III F. Theoretical studies of Wallis and Hutson179 indicated good prospects for sympathetic cooling of NH by collisions with ultracold Mg atoms.
Numerous studies of external field effects on inelastic molecular collisions have been reported. In one of the early studies Krems showed that weakly bound van der Waals complexes can be dissociated by magnetically tuning a Feshbach resonance.180 In this case the dissociation occurs through coupling between Zeeman levels of the bound and unbound channels and the magnitude of the coupling is varied by changing the external magnetic field. The possibility of sympathetic cooling of magnetically trapped polyatomic molecules by 1S0-state atoms, including alkaline earth atoms, was explored by Tscherbul et al.181,182 Coupled-channel quantum calculations of He + CH2 indicate that the collision induced spin-relaxation rate is too slow to cause trap loss.181 Spin relaxation also occurs slowly in collisions of spin-polarized CaH with Li atoms in a magnetic field despite the significant anisotropy of the Li–CaH interaction,183 making Li atoms a promising cooling medium for CaH molecules. Ultracold collisions of O2 molecules in a magnetic field were reported by Tscherbul et al.184 and Pérez Ríos et al.185 which revealed large rates for spin-relaxation and a dense spectrum of magnetically induced Feshbach resonances, especially for magnetic field strengths below 0.1 T (1000 G). An efficient numerical method for locating such Feshbach resonances by computing log-derivative of the total wave function as a function of the magnetic field was proposed by Suleimanov and Krems.186
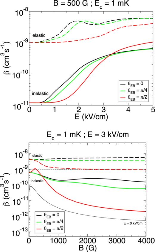
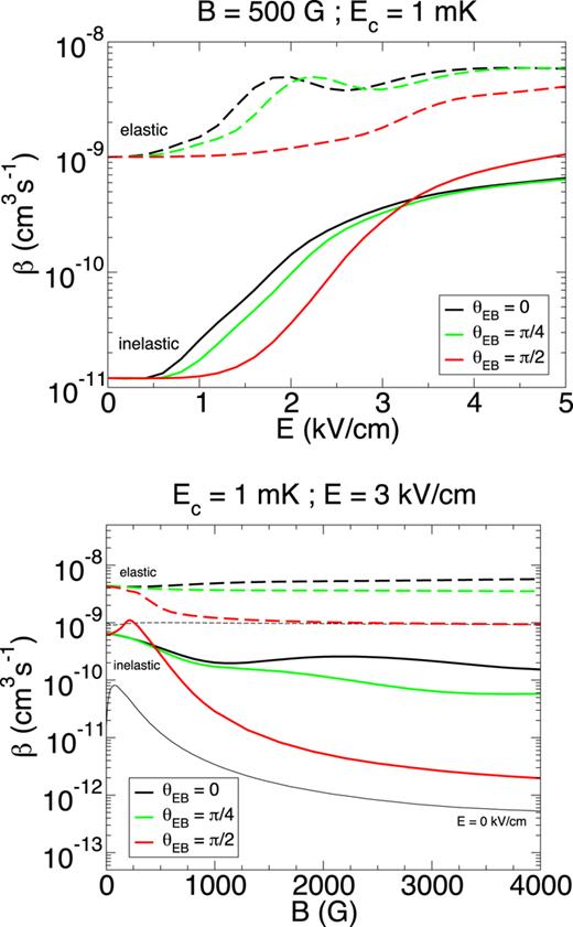
The effect of combined electric and magnetic fields and their relative orientations on inelastic spin-changing collisions has also been explored. Tscherbul and Krems187 carried out explicit quantum calculations of this process in collisions of 2Σ molecules with He atoms, taking CaH and CaD as illustrative examples. It was shown that electric field control of Zeeman transitions involves intricate interplay between intermolecular spin-rotation couplings and molecule-field interactions. Spin relaxation in these systems may be enhanced or suppressed by appropriate combination of superimposed electric and magnetic fields. This is also true of He–OH collisions, where shifting the Zeeman states of OH with applied electric fields can be used to suppress spin relaxation as demonstrated theoretically.188,189 More recently, Quéméner and Bohn73 have applied the technique to OH + OH collisions. It was found that dipolar relaxation in this system is strongly influenced by electric and magnetic field orientations. Further, parallel orientations of electric and magnetic fields were shown to increase dipolar relaxation while perpendicular orientation was found to decrease the rate by orders of magnitude. This is because it becomes more difficult to induce electric dipoles along the electric field axis when the magnetic fields tend to align the molecular axis with it. Figure 7 illustrates results of their calculations for OH + OH collisions. The top panel shows elastic and inelastic collision rates as a function of the electric field for a fixed value of the magnetic field, but for different values of their orientation angles. The bottom panel shows similar results but as a function of the magnetic field for a fixed value of the electric field. Results in both panels correspond to a collision energy of 1 mK.
Top panel: Elastic and inelastic rate coefficients in OH + OH collisions as a function of the applied electric field for an external magnetic field strength of 500 G. The different curves for elastic and inelastic rate coefficients correspond to different relative orientation angles of the electric and magnetic fields. Bottom panel: Similar results as a function of the magnetic field for an electric field strength of 3 kV/cm. In both cases, the collision energy is 1 mK. Reproduced with permission from G. Quéméner and J. L. Bohn, Phys. Rev. A 88, 012706 (2013). Copyright 2013 American Physical Society.
Top panel: Elastic and inelastic rate coefficients in OH + OH collisions as a function of the applied electric field for an external magnetic field strength of 500 G. The different curves for elastic and inelastic rate coefficients correspond to different relative orientation angles of the electric and magnetic fields. Bottom panel: Similar results as a function of the magnetic field for an electric field strength of 3 kV/cm. In both cases, the collision energy is 1 mK. Reproduced with permission from G. Quéméner and J. L. Bohn, Phys. Rev. A 88, 012706 (2013). Copyright 2013 American Physical Society.
D. Reactive scattering formalism
The quantum close-coupling approach described above is suitable for non-reactive collisions. To describe reactive collisions in an atom-diatomic molecule system, one needs to invoke different sets of Jacobi coordinates appropriate for the reactants and products. This coordinate transformation is a significant issue in reactive scattering calculations. Therefore, hyperspherical coordinates are widely employed for describing atom-diatom exchange reactions. While reactive scattering for diatom-diatom systems has also been formulated in hyperspherical coordinates,190 due to computational issues, to the best of our knowledge, such calculations in full-dimensionality without any angular momentum decoupling approximations have not been reported so far. The theory of reactive scattering in atom-diatom systems both in Jacobi and hyperspherical coordinates is extensively described in the literature and is not reproduced here.126–129,191–195 The hyperspherical coordinates for triatomic systems involve three internal and three external coordinates. The internal coordinates include a radial coordinate called the hyper-radius, , and two hyper-angles. The hyper-radius is common to all rearrangement channels while the mass scaled Jacobi coordinates Sτ (atom-molecule center-of-mass distance) and sτ (diatom distance) depend on the arrangement channel τ. The three Euler angles (α, β, γ) form the external coordinates. Various hyperspherical coordinate formalisms differ in the choice of the hyper-angles. In the Delves coordinate (DC) system, they are chosen as (Θτ, χτ), where Θτ = arctan(sτ/Sτ) and χτ is the angle between the two Jacobi vectors. In the adiabatically adjusting principle axis hyperspherical (APH) coordinates of Pack and Parker,194 hyper-angles are (θ, ϕ) where θ is given in terms of the Jacobi coordinates and ϕ is a continuously varying kinematic angle. Note that the APH coordinates are independent of τ and they allow an evenhanded description of all three arrangement channels in an A + BC system compared to the DCs. Regardless of the choice of the hyperspherical coordinates, the basic numerical approach involves a sector-adiabatic formalism. The hyper-radius is divided into a large number of sectors and at the center of each sector, the total wave function is expanded in terms of hyperspherical surface functions. The expansion coefficients depend on the hyper-radius but within a sector they are assumed to be independent of ρ. Coupled channel equations resulting from the Schrödingier equation with this expansion of the total wave function in terms of hyperspherical surface functions are solved from sector-to-sector. Asymptotic boundary conditions are applied in Jacobi coordinates at the last sector in ρ to evaluate the reactance and scattering matrices from which cross sections and rate coefficients are computed using standard expressions.194 The vast majority of reactive scattering calculations of atom-diatom systems at cold and ultracold temperatures use the hyperspherical formalism.
E. Field-free reactive scattering calculations
First we shall briefly review ultracold reactive scattering calculations reported in the absence of external fields. Unlike electronic structure calculations, there are no general purpose reactive scattering codes that can be implemented for a wide variety of molecular systems (atom-diatom, diatom-diatom, atom-triatom, etc.). While codes such as MOLSCAT196 and HIBRIDON197 are available for nonreactive scattering calculations for a variety of systems within various levels of approximations, such codes are not developed/or widely available for reactive scattering systems due to the inherent complexity in treating rearrangement collisions. A widely used publicly available code is the ABC code of Skouteris, Castillo, and Manolopoulos,198 which is well suited for tunneling dominated atom-diatom reactions. For complex-forming reactions which generally involve deep potential energy wells, methods based on adiabatic hyperspherical coordinates of Launay and coworkers193,195 or Pack and Parker and their co-workers194,199,200 may be more appropriate.
Theoretical investigations of ultracold chemical reactions began with the study of the F + H2 reaction by Balakrishnan and Dalgarno.201 Their studies, employing the Stark-Werner (SW) PES104 for the F + H2 system, indicated that the reaction may occur with a rate coefficient of about 1.25 × 10−12 cm3/s in the ultracold limit. Subsequent calculations by Alexander and coworkers87,102 on newer PESs as well as by including spin-orbit effect in the fluorine atom have shown comparable reactivity though slightly less than that predicted by the SW PES. Isotope effects on the F + H2/HD/D2 reactions and resonance enhancement of the zero-temperature rate coefficient as the hydrogen atom mass is artificially varied from H to the D atom limit were explored by Bodo et al.202 A number of studies of chemical reactivity in other tunneling dominated reactions such as Cl + H2/HD, O + H2, Li + HF/LiF + H, and F + HCl have been carried out and discussed in earlier reviews.3,4,14,153
Extensive calculations of chemical reactivity in spin-polarized alkali metal atom-dimer collisions, with and without vibrational excitation of the molecules, have been reported over the last 14 years.203–209 Atom-exchange in these systems occurs without an energy barrier. Soldán et al.203 and Quéméner et al.204 investigated Na + Na2 collisions while Cvitaš et al.206,207 and Quéméner et al.208 explored Li + Li2 collisions with varying degrees of vibrational excitation of the molecule. Quéméner et al.209 also examined spin-polarized collisions of the K + K2 system.
Atom-exchange reactions in collisions of heteronuclear alkali metal dimers have received much attention recently. Żuchowski and Hutson,210 Meyer and Bohn,211 Quéméner et al.,212 Byrd et al.,213,214 and Tomza et al.215,216 have carried out detailed electronic structure calculations of energetics and reaction paths in these systems. While atom-exchange in KRb + KRb → K2 + Rb2 is exoergic, it is not energetically allowed for many other heteronuclear alkali metal dimers in their ground rovibrational level. Indeed, Żuchowski and Hutson210 argued that alkali metal dimer reactions such as 2XY → X2 + Y2 are energetically feasible only for XY = KRb or when X = Li for singlet dimers in their ground rovibrational levels. Through detailed electronic structure calculations, they concluded that trimer formation reactions of the type 2XY → X2Y + Y are also energetically not allowed for low-lying levels of the singlet state. These results were confirmed by Byrd et al.213,214 who also computed a minimum energy path for the KRb + KRb → K2 + Rb2 reaction. It was found that the reaction involves a barrierless path with an intermediate K2Rb2 tetramer at ∼3000 cm−1 below the KRb + KRb and K2 + Rb2 asymptotes. Trimer formation reactions such as 2XY → X2Y + Y are certainly possible for dimers in the triplet state which are weakly bound as well as from high-lying vibrational levels of the singlet state.210,215 For triplet dimers, 2XY → X2 + Y2 is exoergic except for KRb for which it is endoergic by 0.6 cm−1.215 For KCs + KCs → K2 + Cs2, the exoergicity is about 1.0 cm−1 indicating that the reactivity can be controlled either through an external electric field or through confinement in an optical lattice.215 Trimer formation is also energetically favorable for alkali metal atom-dimer collisions of like species. For atom-dimer collisions such as K + KRb → K2 + Rb,210 or Rb + RbCs → Rb2 + Cs,217 the reaction occurs through a barrierless path. However, an explicit treatment of such systems would require an approach that couples the lowest two electronic states of the trimers and the inclusion of non-adiabatic coupling between them.
Ultracold chemistry involving alkali metal and alkaline earth metal atom systems has also been recently explored by Makrides et al.218 They investigated the Li + LiY b → Li2 + Y b reaction at temperatures below 1 K using the hyperspherical coordinate approach in APH coordinates as well as statistical quantum (SQ) and MQDT approaches. It was found that the SQ and MQDT models yield comparable results as the full quantum calculations but the product quantum state distributions from the SQ method differed significantly from the full quantum results.
Complex forming reactions involving non-alkali metal atom systems such as the O + OH → H + O2 reaction have been investigated by Quéméner et al.219,220 for OH(v = 0) and Juanes-Marcos et al.221 for OH(v = 1) using the hyperspherical coordinate approach of Pack, Parker and Kendrick.194,199,200 Pradhan et al.222 have recently extended the calculations to vibrationally excited OH(v = 2, 3) and also investigated the benchmark O(1D) + H2(v) → OH + H reaction for v = 0–2.223 While sensitivity to vibrational excitation of the OH molecule was observed for the former, the reactivity was found to be largely insensitive to H2 vibrational excitation for v = 0–2 for the latter or its isotopic O(1D) + D2 counterpart,224 in the cold and ultracold regimes. This appears to indicate that once the H2O/D2O intermediate is formed, regardless of the initial vibrational level of the molecule, its subsequent decay to the product or reactants is more statistical in nature. These systems exhibit rate coefficients in the 10−11 – 10−10 cm3 s−1 range, about an order of magnitude larger than barrier reactions. For the latter, such as Cl + H2 and D + H2, vibrational excitation of H2 is found to dramatically increase the reactivity, primarily due to the overall reduction in the effective barrier height and higher exoergicity with vibrational excitation.225–227
An important topic in astrophysics is the ortho/para ratio in H2 which is influenced by reactive collisions of H2 with H and H+. The neutral reaction has an energy barrier of about 6000 K and does not influence the ortho-para ratio at low temperatures. However, the ionic reaction occurs with no energy barrier and plays an important role in determining the ortho-para ratio in H2 at low-temperatures. Based on explicit close-coupling calculations, Honvault et al.228 reported a value of 4.15 × 10−10 cm3 s−1 for the conversion of ortho-H2(j = 1) to para-H2(j = 0) at 10 K, indicating high efficiency for the hydrogen atom exchange that drives the process. Similar calculations of D+ + H2 → HD + H+ reaction by González-Lezana et al.229 using both quantum CC and the SQ approach developed by Rackham et al.230 predicted a rate coefficient value of (1.6–2.0) × 10−9 cm3 s−1 in the 10-100 K range. Lara et al.231 recently extended these calculations to the ultracold regime and found a nearly temperature independent value of ∼2.0 × 10−9 cm3 s−1 below 10−4 K. Indeed, the rate coefficient value remained within an order of magnitude in the temperature range 10−8-100 K spanning 10 orders of magnitude, a value also accurately predicted by the Langevin model.
Many other studies of ultracold atom-diatom chemical reactions have been reported over the last 10 years. The general trend is that for barrier reactions, the rate coefficient increases with vibrational excitation until an effective barrier is no longer present, while for barrierless cases, the reactivity is a mild function of the vibrational quantum number, unless an s-wave scattering resonance is present. Unfortunately, due to the limited number and diversity of molecules that are amenable to cooling and trapping experiments, there is very little experimental data to validate or compare with theoretical predictions. Indeed, experimental studies of comparable selectivity and initial state preparation as the KRb case discussed in Section II have not been replicated for other systems. Even for the KRb experiment, absolute control was only achieved for the reactant molecule and no information on the rotational or vibrational populations of the product molecule was available.
F. External field effects on reactivity
There is a long history of experiments and calculations of atomic and molecular processes in external electromagnetic fields, including intense laser fields. Laser catalysis of chemical reactions has been discussed232–236 and multi-photon ionization of atoms and molecules in intense laser fields continues to be an active area of research. Orientation of molecules in strong electric fields has been explored and how steric effects influence reactions in external fields has been investigated.73 However, at cold and ultracold temperatures where the incident kinetic energy is much smaller than perturbations induced by the external field (on the order of ∼1 K), coupling of the field with internal level structure of the molecules must be explicitly taken into account. Rigorous quantum theory of non-reactive collisions including rotational, spin, and hyperfine levels in atom-molecule and molecule-molecule collisions has been described by Avdeenkov and Bohn134,135 and Krems and coworkers.136–139 Such formalism for atom-diatom chemical reactions was first formulated by Tscherbul and Krems in 2008.82 They used an uncoupled representation for the various angular momenta and the theoretical formalism implemented in the ABC code198 for the field-free case. By taking the LiF(v = 1, j = 0) + H → LiH + F reaction as an illustrative example, they demonstrated that the chemical reaction rate can be varied by orders of magnitude by applying an external electric field. More than two orders of magnitude difference in the cross sections were observed between the field-free results and those corresponding to an applied electric field of 150 kV/cm for a collision energy of 1.439 × 10−3 K. However, the results are not fully converged with respect to the basis set adopted. Recently, Tscherbul and Krems237 reformulated the problem in the more efficient total angular momentum representation142 and reported more converged results. Cross sections as a function of the applied field from these calculations showed sharp electric field induced resonances. This is illustrated in Fig. 8 where the peaks labeled A, B, and C correspond to field-induced resonances. The inset shows nascent population of different HF rotational levels for different values of the applied electric field. Figure 9 shows the branching ratio between inelastic to reactive cross sections as a function of the applied field. It is seen that the ratio is a strong function of the applied field, indicating the possibility of controlling the collisional outcome using an external electric field. However, no experimental data are available for comparison with the theoretical prediction. Bobbenkamp et al.238 have recently measured cross sections for the reverse reaction at 290 K using a crossed beam apparatus with variable angle between the Li and HF beams. A magneto-optical trap for the ultracold Li target and other sources of cold molecules such as a rotating nozzle combined with electrostatic guiding may allow further reduction in temperature.238 The low energy behavior of the experimental results indicated no energy threshold for the reaction which was confirmed by quantum calculations of Hazra and Balakrishnan.239
Cross sections for LiF(v = 1, j = 0) + H → Li + HF reaction at a collision energy of 0.01 cm−1 as a function of the applied electric field. The inset shows nascent rotational populations of the HF molecules for different values of the electric field. Reproduced with permission from T. V. Tscherbul and R. V. Krems, Phys. Rev. Lett. 115, 023201 (2015). Copyright 2015 American Physical Society.
Cross sections for LiF(v = 1, j = 0) + H → Li + HF reaction at a collision energy of 0.01 cm−1 as a function of the applied electric field. The inset shows nascent rotational populations of the HF molecules for different values of the electric field. Reproduced with permission from T. V. Tscherbul and R. V. Krems, Phys. Rev. Lett. 115, 023201 (2015). Copyright 2015 American Physical Society.
Branching ratio of non-reactive (vibrational quenching) to reactive cross sections for LiF(v = 1, j = 0) + H → Li + HF reaction as a function of the applied electric field for a collision energy of 0.01 cm−1. Reproduced with permission from T. V. Tscherbul and R. V. Krems, Phys. Rev. Lett. 115, 023201 (2015). Copyright 2015 American Physical Society.
Branching ratio of non-reactive (vibrational quenching) to reactive cross sections for LiF(v = 1, j = 0) + H → Li + HF reaction as a function of the applied electric field for a collision energy of 0.01 cm−1. Reproduced with permission from T. V. Tscherbul and R. V. Krems, Phys. Rev. Lett. 115, 023201 (2015). Copyright 2015 American Physical Society.
As discussed previously, Janssen et al.178 have explored reactive NH–NH collisions resulting from a spin-exchange process. In this case, collisions of the two NH(3Σ−) molecules with total electronic spin SNH = 1 and its projection MSNH = 1 can form dimers in high spin quintet states, |S = 2, MS = 2〉. Spin-changing collisions may involve either MS of the quintet state or the total spin S leading to singlet (S = 0) or triplet (S = 1) dimers. These spin-changing collisions lead to reactive scattering as the singlet and triplet potentials display no barrier for chemical reaction. Thus, an accurate description of NH–NH collisions must include the effect of electronically non-adiabatic transitions. The top panel of Figure 10 shows the effect of a magnetic field on elastic, inelastic, and reactive scattering in NH + NH collisions at 1 μK. The magnetic field effects become important for field strengths above 100 G for elastic and reactive collisions while the inelastic cross sections show strong sensitivity for magnetic field strengths down to a tenth of a Gauss. It is seen that reactive scattering dominates for most magnetic field strengths and exhibits a strong resonant enhancement for a field strength between 200 and 1000 G. When the spin-spin interaction term is neglected in the scattering calculations, the contributions from reactive scattering become insignificant compared to elastic scattering and are almost independent of the applied field. The bottom panel of Figure 10 shows the energy dependence of various cross sections corresponding to different values of the magnetic field. Comparisons with results of a quantum defect model denoted by the dashed green curve in the magnetic field dependence in the top panel or the dashed blue curve in the energy dependence in the bottom panel indicate that NH–NH collisions exhibit significant departures from the universal behavior predicted by the simplified models. These calculations indicate that for energies below 100 mK, magnetic trapping of NH will be limited by reactive collisions. This result is in conflict with conclusions of previous studies that did not include reactive scattering.83,177 However, it must be emphasized that the results of Janssen et al.178 were obtained with a minimal basis set of three rotational levels (Nmax = 2) and hence are not converged with respect to the basis set cut-off parameter Nmax.
Top panel: Elastic, inelastic, and reactive cross sections as functions of the applied magnetic field for NH + NH collisions at an incident energy of 1 μK. Bottom panel: Similar results as a function of the incident collision energy for the field-free and field-induced calculations. Reproduced with permission from L. M. C. Janssen et al., Phys. Rev. Lett. 110, 063201 (2013). Copyright 2013 American Physical Society.
Top panel: Elastic, inelastic, and reactive cross sections as functions of the applied magnetic field for NH + NH collisions at an incident energy of 1 μK. Bottom panel: Similar results as a function of the incident collision energy for the field-free and field-induced calculations. Reproduced with permission from L. M. C. Janssen et al., Phys. Rev. Lett. 110, 063201 (2013). Copyright 2013 American Physical Society.
For exoergic atom exchange reactions such as KRb + KRb → K2 + Rb2, for which the exoergicity is quite small (∼10.38(4) cm−1), an electric or microwave field can be used to shift the energy levels of the KRb molecules relative to the K2 + Rb2 products (which are unaffected by an electric field except at very high field strengths).211 This allows either to control the available product channels or even shutdown the reactivity. In contrast, 2RbCs → Rb2 + Cs2 is endoergic by 28.7 cm−1 and vibrational excitation of the reactants may drive the reaction at low energies.211 The reactivity and available product channels could still be dictated by shifting the rotational energy levels of the reactant molecules with an applied electric field.211 As recently shown by Tomza,216 many isotope exchange reactions comprised of alkali metal and alkaline earth metal atom dimers involve exoergicities in the cold and ultracold energy regime and feature only one open rovibrational channel (see Table 1 of Ref. 216). These reactions can be studied without any trap loss and also manipulated with external fields in both directions.
G. Collisions in confined geometries
By confining molecules in low-dimensional geometries (two-dimensions (2D) or quasi-2D) the collisional properties and threshold behavior can be altered, enabling yet another knob to control and manipulate cold atoms and molecules. It has been shown that the quantum threshold behavior of elastic and inelastic cross sections depends on the dimensionality of the system.146 Li et al.240 and Li and Krems241 have explored ultracold collisions in quasi-2D and 2D taking Li + Cs and Li + Li2 as illustrative examples. For the latter system,241 it was found that cross sections for inelastic and reactive collisions were suppressed by confinement. The threshold behavior of both elastic and inelastic cross sections for the quasi-2D gas was found to depend on the scattering lengths of the collision partners in the confined state and the confinement length. Micheli et al.242 have explored ultracold reactive collisions of KRb molecules in quasi-2D and 1D geometries within the MQDT framework and provided analytical expressions for elastic and reactive rates in the universal regime. The universal regime refers to unit probability for reaction or inelastic quenching when the molecules are in close proximity. It was found that prospects for stability and evaporative cooling were more favorable for fermions than bosons in the universal regime. Bose versus Fermi statistics was also found to play a crucial role on the collisional properties of KRb molecules in an optical lattice by Quéméner and Bohn.243 They examined ultracold collisions of KRb molecules in a 1D optical lattice and found that the reactive rate is enhanced by confinement in the absence of an electric field.244 The opposite effect is observed when the electric field is turned on leading to a suppression of the reactivity. Julienne et al.,245 Zhu et al.,246 and Simoni et al.247 have also examined the stability of ultracold KRb and other heteronuclear dimers of alkali metal atoms in a 1D optical lattice. More recently, Jankowska and Idziaszek248 presented a formalism to explore ultracold collisions of reactive species in a harmonic trap interacting via an isotropic potential with illustrative results for KRb and LiCs molecules.
A number of experimental studies of ultracold molecule collisions and reactions in confined geometries have been reported in recent years. As discussed in Section II de Miranda et al.71 showed that reaction rate between two identically prepared fermionic KRb molecules in an optical lattice with a quasi-2D pancake-shaped geometry is suppressed by two orders of magnitude. Lattice confined polar molecules are ideal systems to investigate many-body quantum effects and to realize lattice spin models for exploring quantum magnetism.249–251 Moses et al.252 demonstrated in situ creation of ultracold fermionic KRb molecules by simultaneously loading a bosonic Rb atom and a fermionic K atom at each lattice site of a 3D optical lattice. Ground state KRb molecules, one per lattice site, were produced by magnetoassociation of the two atoms followed by optical transfer, achieving a 25% filling rate. This “quantum synthesis” of low entropy gas of polar molecules in a 3D optical lattice provides an ideal system for studies of quantum many-body effects mediated through dipole-dipole interaction.
IV. QUANTUM DEFECT THEORIES AND CAPTURE/LANGEVIN METHODS
Full close-coupling calculations of ultracold collisions including external field effects are a formidable task. As a result, there is intense interest in developing simplified models based on long-range theories. While Langevin type models can provide qualitative estimates of reaction rates for systems with strong long-range interaction, their validity is questionable at ultracold energies. Recently, there has been considerable interest in developing formalisms based on MQDT.74–79,81 Recent works of Julienne and coworkers74,75,253 and Gao76,77 have focused on the development of universal models for ultracold reactions within the MQDT framework. The universal model of Julienne et al.,74,75,253 the quantum reflection model of Kotochigova,254 and the quantum threshold (QT) models of Quém’ener et al.212,255 were successful in estimating the overall reaction rate coefficients for KRb + KRb and K + KRb reactions reported by the JILA group. The basic idea of MQDT is to solve the Schrödinger equation accurately for the long-range potential and use an approximate description at short range. In the QT model, the reaction rate coefficients are analytically estimated from the threshold laws that are applicable in the presence of an electric field combined with a classical capture model.255 While these approaches predict the total reaction rate coefficient they do not yield product resolved reaction rates or discriminate between multiple product channels if they are present. Since resolution of product quantum states is an important aspect of state-to-state and controlled chemistry, extension of these approaches to yield product quantum state resolution will be an important step.
The usefulness of the MQDT approach for cold collisions stems from the large disparity in energy scales for the relative motion in the incident channels and the deep potential wells that drive rovibrational transitions and chemical transformations. Thus, energy variations over several orders of magnitude in the initial channels (say 1 μK-1 K) are very small compared to the depth of the potential wells which range from 100 to 50 000 K for many reactions. These two regimes can be described differently and the accuracy of the method improved by treating the short-range dynamics more accurately. Recently, Croft et al.78–80 have extended the MQDT formalism to explicitly include the short-range interaction. Their approach involves full CC calculations of the short-range dynamics at one or a few selected values of energy and magnetic field strength and the MQDT formalism at long-range. A short-range K–matrix is obtained by matching the solution of CC equations to MQDT reference functions evaluated from the long-range potential at some intermediate distance, Rmatch, which is much smaller than the asymptotic matching distance Rmax. The intermediate matching distance is chosen such that the interchannel couplings are negligible for distances beyond Rmatch. The MQDT formalism256 can then be used to transform the short-range K-matrix to the physical S-matrix from which cross sections and rate coefficients can be evaluated. By carefully choosing the MQDT reference functions, the short-range K-matrix can be made weakly dependent on energy and external field strengths. An interpolation of the short-range K-matrix in energy and magnetic field strength could then be employed to drastically reduce the computational cost of the CC calculations. Croft et al.78–80 have recently demonstrated this approach for inelastic spin-changing collisions in Mg + NH and Li + NH systems in the presence of an external magnetic field but invoking a rigid rotor approximation for the molecules. They showed that with appropriate choices for the short-range matching distance and reference potential, accurate results for spin and hyperfine transitions can be obtained. Figure 11 shows energy dependence of the squares of diagonal T-matrix elements for Li + NH collisions as functions of the collision energy from full CC calculations and the MQDT formalism. The agreement is excellent, even near the resonance features at 0.7 K.
Squares of diagonal T-matrix elements Tn,j,mj,msLi,L,ML for Li + NH collisions in the incoming channels for mj = + 1 and L = 0, 2 and 6 at B = 10 G, obtained from full CC calculations (solid, black) and MQDT using optimized reference functions for Rmatch = 6.5 Å both with (dotted-dash, blue) and without (dashed, red) interpolation of the short-range K-matrix. L = 4 is not shown because it obscures the resonant feature for L = 6. See Croft and Hutson80 for details, including definition of various quantum numbers. Reproduced with permission from J. F. E. Croft et al., Phys. Rev. A 87, 032710 (2013). Copyright 2013 American Physical Society.
Squares of diagonal T-matrix elements Tn,j,mj,msLi,L,ML for Li + NH collisions in the incoming channels for mj = + 1 and L = 0, 2 and 6 at B = 10 G, obtained from full CC calculations (solid, black) and MQDT using optimized reference functions for Rmatch = 6.5 Å both with (dotted-dash, blue) and without (dashed, red) interpolation of the short-range K-matrix. L = 4 is not shown because it obscures the resonant feature for L = 6. See Croft and Hutson80 for details, including definition of various quantum numbers. Reproduced with permission from J. F. E. Croft et al., Phys. Rev. A 87, 032710 (2013). Copyright 2013 American Physical Society.
Recently, Hazra et al.257 applied a similar approach for rovibrational transitions in H2 + H2 collisions in full-dimensionality. In their approach the MQDT formalism developed by Ruzic et al.81 was adopted and applied to quasiresonant rotation-rotation and vibration-vibration transfer in para-para, ortho-ortho, and ortho-para systems discussed in Section III B. It was found that the CC-MQDT method yields results in close agreement with the full CC calculations. Further, a short-range K-matrix evaluated at a collision energy of 1 μK was found to yield accurate results in the entire Wigner threshold regime extending to 10 mK. Thus, it appears that for the most part, one may restrict the time-consuming CC calculations to just the short-range at one or a few values of collision energies and then handle the energy dependence and long-range dynamics using the MQDT formalism.
Hazra et al.258 have recently extended the method to reactive scattering by explicitly treating the product channels. Since reactive scattering calculations are more conveniently formulated in hyperspherical coordinates, and the MQDT formalism in Jacobi coordinates, special care has to be taken in matching solutions of the CC equations to MQDT reference functions. They implemented this formalism in the ABC reactive scattering code198 taking D + H2(v, j) → HD(v′, j′) + H reaction as an illustrative example. Figure 12 shows the energy dependence of the total reaction cross section (left panel) and vibrational level resolved cross sections for the HD product (right panel) as functions of the incident collision energy evaluated using the full CC method and the CC-MQDT method. In this case, the short-range matching distance was chosen to be 15 a0 for the CC-MQDT calculation compared to an asymptotic matching distance of 100 a0 for the full CC calculation. The results indicate that this is a promising approach for ultracold chemical reactions with full resolution of product rovibrational quantum states. Since the CC calculations can be restricted to a relatively short value of the hyper-radius beyond which coupling to reactive channels can be neglected the computational savings are significant compared to full CC calculations. Also, like in the non-reactive case, the energy (and field) independence of the short range K-matrix can be exploited to speedup the calculations. Whether the method will be applicable to systems with strong anisotropic interactions is yet to be demonstrated though recent work of Croft and Hutson on inelastic scattering appears to be promising.80 The SQ method of Rackham et al.230 has also received attention in recent years to describe low-temperature capture reactions. It has been applied to a variety of complex forming reactions259 and hydrogen atom exchange in H+ + H2228 and D+ + H2229 reactions with reasonable success. As discussed earlier, it has also been successfully applied to the Li + LiYb reaction.218 González-Martínez et al.260 have recently implemented a statistical capture model for ultracold reactions in external fields and applied it to KRb + KRb → K2 + Rb2 and K + Rb2 → Rb + KRb reactions. The performance of the capture model in the multiple-partial-wave regime (∼1 K) was recently assessed for the Li + CaH→ LiH + Ca chemical reaction and good agreement was found between the measured96 and calculated values.261 An adiabatic capture theory for cold atom-molecule collisions with strong anisotropic interaction was recently developed by Pawlak et al.262 The method was successfully applied to Penning ionization reaction in He(3S) + HD collisions reported by Lavert-Ofir et al.55 We expect these methods to gain more popularity in the coming years.
Cross sections for D + H2(v = 3, j = 0) → HD(v) + H reaction as a function of the incident kinetic energy. The left panel depicts reaction cross section summed over all v levels of HD; the right panel presents vibrational level resolved reaction cross sections for the HD product.
Cross sections for D + H2(v = 3, j = 0) → HD(v) + H reaction as a function of the incident kinetic energy. The left panel depicts reaction cross section summed over all v levels of HD; the right panel presents vibrational level resolved reaction cross sections for the HD product.
V. GEOMETRIC PHASE EFFECTS IN ULTRACOLD REACTIONS
An important topic and an issue of considerable scientific debate that cold molecule research is uniquely positioned to address relates to the geometric phase (GP) effect in chemical reactions.263–265 The geometric phase, also known as the Berry phase,266 results from a sign change of the adiabatic electronic wave function (typically the ground state) when the nuclei follow a closed path around a conical intersection (CI) between two electronic PESs. To keep the total wave function single-valued, a corresponding sign change must also occur on the nuclear motion wavefunction. As pointed out by Mead and Truhlar,267,268 the sign change can be accounted for by introducing an additional vector potential in the Schrödinger equation for the nuclear motion. The effect of this sign change on the bound states of molecules is well documented.269,270 However, its effect on chemical reaction rates has long eluded experimental detection and it continues to be an active topic of experimental and theoretical studies.271,272 The H + H2 reaction and its isotopologues have long served as benchmark systems for experimental verification of the GP effect in chemical reactions.263–265,271–275 All of these experiments that probe GP effects involve molecules in low initial vibrational quantum numbers (mostly the v = 0 vibrational level) and high kinetic energies for the relative motion. At these high kinetic energies, a large number of partial waves or impact parameters contribute to the reaction. Though, the GP effect may manifest as tiny oscillations in differential cross sections or partial-wave-resolved reaction probabilities in theoretical calculations, it washes out when a summation/average over all contributing partial waves is made for comparison with experiment or when integral cross sections are evaluated. The cancellation of the GP effect due to partial wave summation was explicitly demonstrated by Kendrick through accurate calculations of the H + D2 reaction using a time-independent quantum approach in APH coordinates.263 This was further confirmed by Althorpe and collaborators265,273,274 who employed a time-dependent quantum method to solve the Schrödinger equation. Recent combined experimental and theoretical investigations by Jankunas et al.271,272 was unsuccessful in confirming GP effects in the H + HD and H + D2 reactions. In all these studies, the primary reason for the inability to observe GP effects appears to be the partial wave summation, where contributions from even and odd partial waves cancel the GP effect.263
The situation changes dramatically in the ultracold limit where a single partial wave (usually the s-wave) dominates the reaction and the partial summation collapses to a single contribution. In the s-wave limit only isotropic scattering occurs and complete constructive or destructive interference between the scattering amplitudes corresponding to the “direct” path and the “looping” pathway that encircles the CI is possible. This leads to large GP effects in rotationally resolved differential and integral cross sections as recently demonstrated for the O + OH(v = 0 − 1, j = 0) → H + O2(v′, j′) reaction276,277 as well as for hydrogen exchange reactions in H + H2(v, j) → H + H2(v′, j′), H + HD(v, j) → H + HD(v′, j′), and D + HD(v, j) → D + HD(v′, j′) collisions for the v = 4, j = 0 initial state.278,279 For the hydrogen exchange reactions, vibrational excitation of the H2/HD molecules to the v = 4 or higher levels leads to a barrierless reaction path and a favorable encirclement of the CI even in the limit of zero incident collision energy.278 The manifestation of the GP effect in ultracold collisions may be understood by expressing the GP and NGP (no geometric phase) scattering amplitudes in terms of the direct and looping amplitudes (for H + HD and D + HD they correspond to, respectively, the pure inelastic (nonreactive) and H or D atom exchange scattering amplitudes, see the different pathways depicted in Fig. 1(a) of Ref. 278).265,276,278 If fdirect and floop are the scattering amplitudes for the “direct” and “looping” pathways, then the NGP and GP scattering amplitudes are given by265,276–279
where the plus sign refers to NGP and the minus sign refers to GP. The square modulus of the scattering amplitudes may be written as
where the complex scattering amplitudes fdirect and floop are expressed as fdirect = |fdirect|eiδdirect and floop = |floop|eiδloop and Δ = δloop − δdirect is the phase difference between the looping and direct pathways. When the two scattering amplitudes are of comparable magnitude, i.e., |floop| = |fdirect| = |f|, Eq. (8) becomes |fNGP/GP|2 = |f|2(1 ± cosΔ). Further, if cosΔ = + 1 then maximum (constructive) interference occurs for the NGP case and |fNGP|2 ∼ 2|f|2 and |fGP|2 ∼ 0. However, if cosΔ = − 1, then maximum (constructive) interference occurs for the GP case and |fGP|2 ∼ 2|f|2 and |fNGP|2 ∼ 0. This constructive and destructive interference is maximized in the ultracold regime due to isotropic scattering and an “effective” quantization of the phase shift. An effective quantization of Δ = nπ can occur where n is an integer and the reaction can then be turned on or off depending simply on the sign of the interference term (since |cosΔ| ∼ 1). On the other hand, if one scattering pathway dominates over the other, |floop|2 ≫ |fdirect|2 or |fdirect|2 ≫ |floop|2, then Eq. (8) becomes |fNGP/GP|2 ∼ |floop|2/2 or |fNGP/GP|2 ∼ |fdirect|2/2. In these cases, the interference term containing |cosΔ| becomes negligible and the GP effect vanishes. When many partial waves contribute, as in higher energy collisions, the interference term averages out to zero (cosΔ ∼ 0) and the GP effect is no longer observable. The phase quantization of Δ = nπ can be understood by considering scattering in a simple spherical well potential for the different pathways (i.e., Levinson’s theorem δloop = nloopπ and δdirect = ndirectπ but with a different number of bound states nloop and ndirect for the spherical well potentials traversed by the two pathways).276 Explicit scattering calculations reported in Refs. 276–279 appear to validate this model, yielding cosΔ values that are close to ±1 when the NGP or GP effect dominates.
Kendrick et al.276,277 have recently reported large GP effects in ultracold state-to-state rate coefficients for the O + OH(v = 0 − 1, j = 0) → H + O2(v′, j′) reaction. The GP and NGP rate coefficients differed by 1-2 orders of magnitude for many v′, j′ states and the effect persisted to a lesser extent in the rotationally summed, vibrationally resolved rate coefficients. The interference mechanism presented above for the looping and direct pathways was able to fully account for the observed GP/NGP effects.
As an example of large GP/NGP effects in the much studied hydrogen exchange reaction, we show in Fig. 13 three-dimensional (3D) plots of differential cross sections (DCSs) for the H + HD(v = 4, j = 0) → H + HD(v′ = 0, j′ = 3) reaction as functions of the scattering angle and the scattering energy. The top panel depicts results for the even exchange symmetry and the bottom panel shows the same for the odd exchange symmetry. The exchange symmetries refer to the symmetry of the nuclear motion wave function with respect to the permutation of the identical hydrogen nuclei. The 3D DCSs show an isotropic distribution in the scattering angle and Wigner threshold behavior145 in scattering energy. The GP effect enhances the ultracold reactivity for the odd exchange symmetry whereas it suppresses the reactivity for the even exchange symmetry. This trend is reversed near a collision energy of about 1 K due to a shape resonance resulting from a l = 1 partial wave. For more details of the interference mechanism, average values of cosΔ, and reaction rate coefficients for the above transition, see Hazra et al.279
Differential cross sections as functions of the scattering angle and scattering energy for H + HD(v = 4, j = 0) → H + HD(v′ = 0, j′ = 3) reaction. Upper panel: even exchange symmetry; lower panel: odd exchange symmetry. Results include contributions from total angular momentum quantum number J = 0–4. The nuclear spin statistics factors are not included in the cross section values.
Differential cross sections as functions of the scattering angle and scattering energy for H + HD(v = 4, j = 0) → H + HD(v′ = 0, j′ = 3) reaction. Upper panel: even exchange symmetry; lower panel: odd exchange symmetry. Results include contributions from total angular momentum quantum number J = 0–4. The nuclear spin statistics factors are not included in the cross section values.
As discussed in Kendrick et al.278 the interference mechanism outlined here is a general property of ultracold collisions and may occur in molecules without CIs or GP effects. Large interference effects may be observable for barrierless reaction paths which proceed over a potential well (due to the PES or vibrational excitation) and include contributions from two interfering pathways (such as reactive and non-reactive). The interference (and hence reactivity) might be controlled by the selection of a specific nuclear spin state or by the application of external electric or magnetic fields to (1) modify the relative number of bound states in the effective potential wells along each interfering pathway, or (2) alter the relative magnitude of the two interfering scattering amplitudes.276,277
VI. CHALLENGES AND FUTURE PROSPECTS
In a relatively short span of about 15 years, the field of ultracold molecules and ultracold chemistry has become a true frontier and fertile area of experimental and theoretical research in physics and chemistry. What started as a mere curiosity has evolved into a full grown research field with strong overlap among atomic, molecular and optical physics, chemical physics, physical chemistry, and astrochemistry. Ultracold molecules, in particular polar molecules, are of considerable interest for the description of strongly interacting quantum gases, controlled studies of chemical reactions, and possibly quantum computation and quantum information processing. How and to what extent these goals will be realized will depend largely on the progress at the experimental fronts in broadening the scope and range of molecules that can be cooled, trapped, and interrogated. Despite considerable progress in the development of various molecular cooling techniques, so far only photoassociation and Feshbach resonance methods have been able to create molecules in the μK regime. However, applicability of these methods has largely been restricted to alkali and alkaline earth metals. On the other hand, the buffer gas cooling and Stark decelerator methods can handle any molecular systems that will respond to magnetic and/or electric fields but the lowest temperature attained thus far has remained in the mK regime. The more recent techniques involving merged beams hold great promise as they are not restricted to a particular class of molecules. Also, there is hope that laser cooling will broaden to more varieties of molecules. Microwave traps280 offer strong confinement over a large volume (up to several cm3) and may be especially suitable for large samples of ground state polar molecules and studies of collision-induced absorption of photons.15,281 On the theoretical side, besides alkali and alkaline earth metals, the vast majority of calculations involve simple molecules such as H2, O2, CO, NO, CaH, HF, LiH, LiF, NH, OH, etc., which are generally of great chemical interest. While many of these molecules are of current experimental interest, molecules that are amenable to both experimental and theoretical interrogation and of chemical interest will be crucial in future progress in this field. Thus, counterparts of H + H2 and F + H2 reactions for state-to-state chemical dynamics of barrier reactions or O(1D)+H2 for complex forming reactions will be important for ultracold chemistry. The progress being made in creating ultracold samples of OH may open up such possibilities, for example, studies of OH + OH, OH + CO, or even OH + O reactions.
While ultracold chemistry is often highlighted among the motivations for cold molecule research, the primary goal of many experiments is to create a stable source of ultracold ground state molecules and any collisional process, including chemical reaction, is considered “bad” or “undesirable.” Thus, spatial confinement in low-dimensional geometries which limits collisional loss is often employed. We hope that as the methods to create cold and ultracold molecules become more robust greater efforts will be devoted to the actual study of a chemical reaction rather than its suppression. The ultimate control of a chemical reaction should necessarily include both the reactant and product quantum states. At the experimental level, the control so far has largely been focused on the preparation of the reactant quantum states and limiting their kinetic energy distribution. Significant experimental challenges need to be overcome to enable quantum state resolution of reaction products. Calculations seem to suggest the population of a range of rovibrational levels for the product molecules in O + OH, O(1D) + H2, and alkali metal atom-dimer reactions. Whether external fields can induce resonances that will couple specific product quantum states, as predicted by calculations for the LiF + H reaction,237 is yet to be seen experimentally. As discussed by Tomza,216 many isotope-exchange reactions involving singlet and triplet dimers of alkali metal and alkaline earth metal atoms are characterized by exoergicities in the subkelvin or sub-mK range and amenable to ultracold quantum state-resolved chemistry experiments with little or no trap loss. Ultracold Rydberg molecules, including homonuclear dimers, are also of considerable interest as they possess large dipole moments (on the order of kilo-Debye in some case) and are amenable to control by external fields.282,283
Since a precise evaluation of the interaction potentials and cross sections for elastic, inelastic, and reactive processes is also critical for experimental progress, rapid progress in theory, in particular, highly accurate determination of the interaction potentials and efficient scattering formalisms are also needed. In ultracold collisional studies, it is often customary to explore the sensitivity of the computed observables to small variations of the interaction potential through a scaling factor and varying this factor within the uncertainty of the potential. A recent method based on the Gaussian process model proposed by Krems and coworkers284,285 allows efficient mapping of the sensitivity of computed results to all parameters that define the potential. Averaging the scattering observables over variations of these parameters offers an efficient means of providing realistic error bars on the computed results.
Most calculations of ultracold reactions have largely been restricted to a single electronically adiabatic potential. While the effect of spin-orbit coupling in the F atom for the F + H2 reaction has been explored by Alexander and co-workers,87 the computations have not been pushed to the ultracold limit. An important hindrance to such studies is the lack of accurate potential energy surfaces and proper description of the long-range interaction for most chemically important systems. Even for the benchmark F + H2 system, the situation is far from ideal. None of the available PESs for this benchmark reaction provide an accurate treatment of the long-range interaction. In many cases, theoretical studies of cold and ultracold reactions have used existing PESs that were calculated for room temperature and higher energy studies. While this is reasonable to get an overall qualitative picture of ultracold collisional phenomena, reliable PESs are needed for an accurate description. Thus, for a quantitative prediction of cold and ultracold reactions, a concerted effort, combining electronic structure, quantum scattering, and feedback from experiments would be highly desirable. In many cases, explicit quantum scattering calculations are computationally prohibitive when spin and hyperfine levels are included and further development of reliable approximate methods such as hybrid close-coupling-MQDT or statistical quantum methods is highly desirable.
Looking forward, one topic that ultracold molecule research is well positioned to address is the outstanding issue of the role of the geometric phase in chemical reactions. As demonstrated in recent theoretical studies,276–279 the geometric phase plays the role of a “quantum switch” that turns the reaction on or off depending on the magnitude of the interference term between the direct and looping scattering amplitudes that encircle the conical intersection. Ultracold molecules may finally allow experimental detection of the interference effects as contributions from higher partial waves are eliminated.
Finally, investigation of ultracold collisions can also pay rich dividends in other overlapping areas. For instance, while the lowest temperatures of interest in astrophysics are only in the vicinity of 3 K, cold molecules may shed insights into low temperature chemistry and molecule formation in astrophysical environments. Recent studies have shown that low-temperature rate coefficients are strongly influenced by resonances supported by the van der Waals interaction potential. Mechanistic insights gained from cold collisions may enable a better understanding of molecular interactions and chemistry in cold molecular clouds and star-forming regions.
Acknowledgments
I dedicate this article to Alex Dalgarno whose vision, curiosity, and deep insights into atomic and molecular interactions paved the way for much of the initial explorations of ultracold molecular collisions and ultracold chemistry. This work was supported in part by NSF Grant No. PHY-1505557 and ARO MURI Grant No. W911NF-12-1-0476. I am grateful to Robert Forrey (R.F.), Phillip Stancil (P.S.), Brian Kendrick (B.K.), Timur Tscherbul, and James Croft for comments on an earlier version of the manuscript. R.F., P.S., and B.K. are also acknowledged for productive collaboration on many aspects of the work described here along with Roman Krems, Jisha Hazra, and John Bohn. Special thanks to B.K. for the 3D DCS plots in Fig. 13. Support from ITAMP during a scholarly visit to the Harvard-Smithsonian Center for Astrophysics where this work was initiated is also gratefully acknowledged.












