Half-metallic Heusler alloys have been intensively studied in recent years due to their potential applications in spin-based devices, e.g., in magnetic tunnel junctions. Yet, their properties may be very sensitive to the choice of the substrates, i.e., to the epitaxial strain and interface properties. Here, we report the results of our computational work on the half-Heusler compound CrMnSb(1−x)Px. In particular, we demonstrate that the parent compound CrMnSb is close to a half-metallic material at the optimized lattice parameter, with the onset of the half-metallic bandgap a few meV above the Fermi energy. Moreover, although it undergoes a half-metallic transition under a uniform compression of ∼1.5%, such a transition is absent under epitaxial strain. At the same time, we show that a half-metallic transition could be induced by a chemical substitution of Sb with P, which results in a volume reduction of the unit cell. In particular, 50% substitution of Sb with P leads to a robust half-metallicity in CrMnSb(1−x)Px, with 100% spin polarization being retained at a large range of epitaxial strain. Thus, our results indicate that CrMnSb0.5P0.5 could be grown on different types of substrates, e.g., GaAs, without its electronic properties being detrimentally affected by biaxial strain. In addition, CrMnSb0.5P0.5 exhibits a fully compensated ferrimagnetic alignment, which could be potentially useful in applications where stray magnetic fields are undesirable.
I. INTRODUCTION
Half-metallic (HM) Heusler alloys are among the most promising candidates for applications in spintronics, as they could exhibit a complete spin polarization at room temperature. These materials have been intensively studied in recent years, with many systems being suggested to exhibit a 100% spin-polarization.1–13 The spin polarization is defined as , where is the spin-dependent density of states (DOS) at the Fermi level, .14 Thus, a half-metal is a crystal that behaves as an insulator for one spin channel and as a conductor for the opposite spin channel. For practical implementations, e.g., in magnetic tunnel junctions (MTJs), these materials need to be grown as epitaxial thin films on a suitable substrate. As a result, it is important to understand how the choice of substrates, and other related parameters, such as lattice matching, interface effects, and reduced geometry, affect the film properties. Among various HM materials, fully compensated ferrimagnets (FCFMs) are particularly attractive, e.g., for MTJ applications, as they do not produce stray magnetic fields. Several such materials have been reported in the literature, including half-Heusler alloys such as CrMnSb, CrMnP, and CrMnAs, among others.15–21
A particular field of study that has attracted significant recent attention is tuning of spin polarization and other magnetic properties with external stimuli, such as mechanical strain, chemical substitution, atomic disorder, surface/interface termination, and temperature.22–29 In particular, in our recent work, we showed that a chemical substitution could be a viable mechanism for inducing a half-metallic or spin-gapless semiconducting transition in some Heusler compounds, such as Ti2MnAl.10 Here, we follow a somewhat similar approach and show that, despite earlier reports of 100% spin polarization, the half-Heusler compound CrMnSb is not half-metallic in the ground state, but that it does undergo a half-metallic transition upon compression, which may be achieved in practice by chemical substitution of Sb with P. We also show that while epitaxial compressive strain is not sufficient for half-metallic transition in CrMnSb, a robust half-metallicity with fully compensated ferromagnetic arrangement is retained in CrMnSb0.5P0.5 (i.e., 50% substitution of Sb with P) for a wide range of biaxial compression/expansion. These results may be important for researchers working on thin-film implementations in spintronics.
The rest of the paper is organized as follows. Section II outlines the computational methods. Our main results are reported in Sec. III, which consists of three parts. In Sec. III A, we analyze the structural, magnetic, and electronic properties of CrMnSb, while in Sec. III B we examine how these properties can be tuned with Sb-to-P substitution, and we suggest some potential practical implementations. In Sec. III C, we discuss the stability of the studied compounds. Section IV contains concluding remarks.
II. COMPUTATIONAL METHODS
We used the projector augmented-wave method (PAW)30 within the generalized-gradient approximation (GGA),31 implemented in the Vienna ab initio simulation package (VASP).32 We set the cutoff energy of the plane waves to 500 eV, and we used the integration method33 with a 0.05 eV width of smearing. Structural optimization is performed with the energy convergence criteria of 10−2 meV, which results in the Hellmann–Feynman forces being less than 0.005 eV/Å. The total energy and electronic structure calculations are performed with a stricter convergence criterion of 10−3 meV. The Brillouin-zone integration is performed with a k-point mesh of 12 × 12 × 12. For biaxial strain calculations, we fixed the in-plane lattice parameters and optimized the out-of-plane coordinates. Some of the results and figures are obtained using the MedeA® software environment.34 In particular, the band structures are calculated and plotted using MedeA, with the high-symmetry k-points and lines of the Brillouin zone determined by the program. The calculations are performed using Extreme Science and Engineering Discovery Environment (XSEDE) resources located at the Pittsburgh Supercomputing Center (PSC)35 and at a local computer cluster (Briareus) located at the University of Northern Iowa (UNI).
III. RESULTS
A. CrMnSb
According to the available literature, CrMnSb and similar half-Heusler alloys may crystallize in two different phases: -phase and -phase (see Fig. 1). For a detailed discussion on these phases, see Shaughnessy et al., and references therein.16 In particular, it has been reported by Shaughnessy et al. that for CrMnSb the -phase is energetically favorable. We confirmed this result by comparing the ground state energies for these two phases. Our calculated energies per 12-atom cell for the -phase and for the-phase are and , correspondingly. The calculated lattice parameters are a = 6.101 Å (-phase) and a = 5.988 Å (-phase). In addition, our calculations indicate that the -phase remains energetically favorable for a large range (up to 6%) of compression/expansion of the unit cell. Therefore, in the rest of this work, we will focus on the -phase, as it corresponds to the lowest energy structure.
-phase (a) and -phase (b) of CrMnSb. Atoms are color-coded as indicated in the figure.
-phase (a) and -phase (b) of CrMnSb. Atoms are color-coded as indicated in the figure.
Figure 2(a) shows the calculated total and element-resolved density of states for the bulk CrMnSb in the -phase. One can see that this material is not half-metallic due to the crossing of the minority-spin valence states by the Fermi level. The main contribution to the minority-spin states at the Fermi energy comes from Cr, with Mn and Sb having smaller (but non-zero) contributions [see the inset of Fig. 2(a)]. Figure 2(b) shows the calculated band structure of the bulk CrMnSb in the -phase. It confirms that this material is close to a half-metallic state due to only a slight overlap of the minority valence band with the Fermi energy.
(a) Calculated density of states of bulk CrMnSb in the -phase. Atomic contributions are color-coded as indicated in the figure. The inset at the top right corner is an enlarged version of the figure, around Fermi level. Positive and negative DOS correspond to majority- and minority-spin states, respectively. (b) Calculated band structure of bulk CrMnSb in the -phase. Blue lines correspond to majority-spin, while red lines correspond to minority-spin.
(a) Calculated density of states of bulk CrMnSb in the -phase. Atomic contributions are color-coded as indicated in the figure. The inset at the top right corner is an enlarged version of the figure, around Fermi level. Positive and negative DOS correspond to majority- and minority-spin states, respectively. (b) Calculated band structure of bulk CrMnSb in the -phase. Blue lines correspond to majority-spin, while red lines correspond to minority-spin.
Figure 3 shows the calculated density of states of the bulk -phase CrMnSb as a function of uniform compression/expansion. As one can see from this figure, -phase CrMnSb undergoes a half-metallic transition under ∼1.5% uniform compression, at around 5.900 Å. This explains the disagreement between our results and those reported earlier by Shaughnessy et al.16 In particular, in Ref. 16 the lattice constant of CrMnSb was determined by performing non-spin-polarized calculations that correspond to a metastable state. According to these calculations, the lattice constant of the -phase bulk CrMnSb was determined to be 5.790 Å. We performed similar (i.e., non-spin-polarized) calculations, and we confirmed this result within the computational error (our calculated lattice constant is 5.780 Å). At the same time, the lattice constant calculated with spin-polarized calculations is a = 5.988 Å. While the -phase of bulk CrMnSb is not half-metallic at 5.988 Å, it undergoes a half-metallic transition under uniform compression, and it is 100% spin-polarized at 5.780 Å, as shown in Fig. 3. Results of the lattice constant optimization are shown in Fig. 4.
Calculated density of states of bulk CrMnSb in the -phase as a function of lattice constant, for uniform compression/expansion. Positive and negative DOS correspond to majority- and minority-spin states, respectively. Lattice parameters at which DOS is calculated are indicated in the figure.
Calculated density of states of bulk CrMnSb in the -phase as a function of lattice constant, for uniform compression/expansion. Positive and negative DOS correspond to majority- and minority-spin states, respectively. Lattice parameters at which DOS is calculated are indicated in the figure.
Energy vs lattice constant of bulk CrMnSb in the -phase. Red line and circles—uniform pressure with spin-polarized calculations; black line and squares—biaxial strain with spin-polarized calculations; blue line and stars—uniform pressure with non-spin-polarized calculations. “SP” in the figure legend stands for “spin-polarized.”
Energy vs lattice constant of bulk CrMnSb in the -phase. Red line and circles—uniform pressure with spin-polarized calculations; black line and squares—biaxial strain with spin-polarized calculations; blue line and stars—uniform pressure with non-spin-polarized calculations. “SP” in the figure legend stands for “spin-polarized.”
For spin transport-based device applications, e.g., in magnetic tunnel junctions, a uniform compression/expansion is not a realistic scenario. Instead, one needs to take into account the modification of material properties under epitaxial strain. Based on the results shown in Fig. 3, one may assume that the half-metallic transition in -phase CrMnSb could be induced by compressive epitaxial strain. To verify this assumption, we look at the change in the electronic structure of this material under biaxial strain. Results are illustrated in Fig. 5, which shows the calculated DOS of the bulk -phase CrMnSb as a function of epitaxial strain. The latter is calculated by fixing the in-plane lattice constants and optimizing the out-of-plane atomic coordinates. As seen in Fig. 5, application of biaxial strain (up to 6% compressive and 7% tensile) does not result in half-metallic transition. This can be explained by a smaller reduction in the volume of the unit cell under biaxial strain, compared with uniform compression (hydrostatic pressure). This is illustrated in Fig. 6(a), which shows the calculated volume of the unit cell for the -phase CrMnSb as a function of uniform compression/expansion and biaxial strain. Figure 6(b) shows calculated out-of-plane vs in-plane lattice constants of bulk CrMnSb in the γ-phase, as a function of in-plane lattice constant, for biaxial strain. Thus, a half-metallic transition in this material could be induced by uniform compression, but not by epitaxial strain. Since a uniform compression is not a realistic scenario in thin-film geometries, we next look at an alternative mechanism of achieving a unit cell volume reduction, in particular, by chemical substitution. This is the subject of Sec. III B.
Calculated density of states of bulk CrMnSb in the -phase, as a function of in-plane lattice constant, for biaxial strain (up to 6% compressive and 7% tensile). Positive and negative DOS correspond to majority- and minority-spin states, respectively. In-plane lattice parameters at which DOS is calculated are indicated in the figure.
Calculated density of states of bulk CrMnSb in the -phase, as a function of in-plane lattice constant, for biaxial strain (up to 6% compressive and 7% tensile). Positive and negative DOS correspond to majority- and minority-spin states, respectively. In-plane lattice parameters at which DOS is calculated are indicated in the figure.
(a) Calculated unit cell volume of the -phase CrMnSb as a function of uniform compression (red line and circles) and biaxial strain (black line and squares). (b) Calculated out-of-plane vs in-plane lattice constants of bulk CrMnSb in the -phase, as a function of in-plane lattice constant, for biaxial strain.
(a) Calculated unit cell volume of the -phase CrMnSb as a function of uniform compression (red line and circles) and biaxial strain (black line and squares). (b) Calculated out-of-plane vs in-plane lattice constants of bulk CrMnSb in the -phase, as a function of in-plane lattice constant, for biaxial strain.
B. CrMnSb(1−x)Px
Even though CrMnSb undergoes a half-metallic transition under uniform compression of about 1.5%, the latter is not a realistic scenario in thin-film geometry, e.g., in magnetic tunnel junctions, where the material experiences a biaxial strain. As we showed in Sec. III A, a biaxial strain does not lead to a half-metallic transition in CrMnSb. Such transition, however, can be achieved by chemical substitution. For example, in our earlier work, we showed that such substitution results in half-metallic and spin-gapless semiconducting transitions in Ti2MnAl.10 The idea is to replace a non-magnetic atom (Sb in CrMnSb) with another non-magnetic atom of a smaller atomic radius. This should reduce the volume of the unit cell and could potentially shift the Fermi level inside the minority-spin energy bandgap, thus inducing a half-metallic transition. With this in mind, we analyze CrMnSb(1−x)Px in the -phase. In particular, we compare the properties of the following systems: CrMnSb1.00P0.00, CrMnSb0.75P0.25, CrMnSb0.50P0.50, CrMnSb0.25P0.75, and CrMnSb0.00P1.00. For each of these compositions, the minimum energy atomic configuration has been determined, by optimizing the lattice parameters.
Figure 7(a) shows calculated total DOS as a function of “x” in CrMnSb(1−x)Px. Calculated optimal lattice constants for each “x” are indicated in the figure and are plotted as a function of P content in Fig. 7(b). As one can see from this figure, substitution of Sb with P results in reduction of the lattice constant [Fig. 7(b)], and subsequent half-metallic transition at around 25% of P content [Fig. 7(a)]. This corresponds to the lattice constant of 5.850 Å, consistent with the percentage of uniform compression that results in the half-metallic transition of a parent CrMnSb compound (see Fig. 3).
(a) Calculated density of states of bulk CrMnSb(1−x)Px in the -phase for different values of x. (b) Calculated optimal lattice constants for each “x.” (c) Calculated density of states of bulk CrMnSb0.5P0.5 in the -phase. Atomic contributions are color-coded as indicated in the figure. Positive and negative DOS correspond to majority- and minority-spin states, respectively.
(a) Calculated density of states of bulk CrMnSb(1−x)Px in the -phase for different values of x. (b) Calculated optimal lattice constants for each “x.” (c) Calculated density of states of bulk CrMnSb0.5P0.5 in the -phase. Atomic contributions are color-coded as indicated in the figure. Positive and negative DOS correspond to majority- and minority-spin states, respectively.
As shown in Fig. 7(a) (and in Fig. 3), a half-metallic transition upon uniform compression of CrMnSb(1−x)Px is induced by increasing the minority-spin energy gap. One could expect that this “trend” would persist up to 100% of P content, i.e., the largest minority-spin bandgap would be in CrMnP. However, this is not the case. As seen in Fig. 7(a), at 75% of P content, the minority-spin gap is dramatically reduced, and at 100% of P content the material (CrMnP) becomes essentially non-spin-polarized. This happens because of the quenching of Cr and Mn magnetic moments under a strong reduction of the unit cell volume (see below). This result does not contradict with earlier reports of near half-metallicity in CrMnP.17 Indeed, in Ref. 17, Şaşıoğlu calculated DOS of CrMnP at the lattice constant of a = 5.450 Å, while our calculations indicate that the optimal lattice constant of this material is a = 5.297 Å. Thus, at a larger lattice constant (e.g., 5.450 Å), the unit cell is not sufficiently small, and the magnetic moments of Cr and Mn are not quenched. This can be indirectly seen in Fig. 7(a) (second from the bottom panel), which shows that at a = 5.459 Å, CrMnSb0.25P0.75 retains a large spin-polarization, i.e., it is nearly half-metallic. To better illustrate these ideas, we plot total and atom-resolved magnetic moments of CrMnSb(1−x)Px as a function of x, see Fig. 8.
Calculated magnetic moments of bulk CrMnSb(1−x)Px in the -phase for different values of x. Atomic contributions are indicated in the figure: (a) Cr, (b) Mn, (c) Sb/P, and (d) total.
Calculated magnetic moments of bulk CrMnSb(1−x)Px in the -phase for different values of x. Atomic contributions are indicated in the figure: (a) Cr, (b) Mn, (c) Sb/P, and (d) total.
As one can see in Fig. 8(d), which shows calculated total magnetic moment per 12-atom cell, CrMnSb(1−x)Px is a fully compensated ferrimagnet, with zero total magnetic moment, at 25% and 50% of P content. This is consistent with a well-known fact that half-metallic compounds exhibit an integer magnetic moment. This is due to the Fermi energy lying in the bandgap of one of the spin channels, thus making all states in the valence band of that spin channel occupied. This makes the total number of these states an integer, resulting in an integer total magnetic moment, because of the integer total valence charge. As shown in Fig. 8(d), the total magnetic moment of CrMnSb is not zero (i.e., not integer), which is consistent with a non-half-metallic nature of this compound. At the same time, at 75% P concentration, the total magnetic moment slightly deviates from zero. This is accompanied by a strong reduction of Cr and Mn magnetic moments due to their quenching under compression. Finally, at 100% P content, i.e., in CrMnP, the total magnetic moment is again exactly zero. But this is not due to a fully compensated ferrimagnetic alignment of local magnetic moments, but instead due to a total quenching of the latter, and subsequent transition to a non-spin-polarized state [see the bottom panel of Fig. 7(a)].
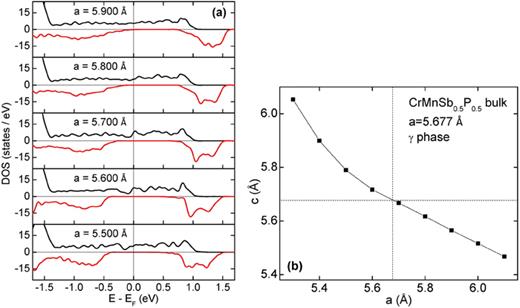
Based on the analysis presented above, CrMnSb0.5P0.5 is a promising candidate for device applications in spin-based electronics, as it exhibits fully compensated ferrimagnetism, and a half-metallic electronic structure, with a rather large energy gap of ∼1.0 eV in the minority-spin channel. In addition, the calculated lattice constant of CrMnSb0.5P0.5 is a = 5.677 Å, which makes it nearly perfectly lattice matched (less than 0.5% strain) with GaAs (a = 5.650 Å17), which, therefore, can be used as a substrate for thin-film growth, without producing a significant mechanical strain. At the same time, other substrates could potentially result in a large epitaxial strain in CrMnSb0.5P0.5. It is, therefore, desirable to see how the electronic structure of this compound responds to the external biaxial strain. To answer this question, we calculated density of states of CrMnSb0.5P0.5 under biaxial strain (fixed in-plane lattice constant, optimized out-of-plane coordinates). Figure 9(a) summarizes our results, and Fig. 9(b) shows calculated out-of-plane vs in-plane lattice constants (c vs a). As one can see from Fig. 9(a), CrMnSb0.5P0.5 retains a 100% spin polarization for a rather wide range of epitaxial strain (up to 4% in-plane compression/expansion). This indicates that this material could be potentially grown on a variety of substrates [e.g., semiconductors such as GaP (a = 5.450 Å) and InP (a = 5.869 Å)],17 while retaining a large spin-polarization.
(a) Calculated density of states of bulk CrMnSb0.5P0.5 in the -phase for different values of the in-plane lattice parameter. (b) Calculated out-of-plane vs in-plane lattice constant of bulk CrMnSb0.5P0.5 in the -phase, as a function of in-plane lattice constant, for biaxial strain. In-plane lattice parameters at which DOS is calculated are indicated in the figure.
(a) Calculated density of states of bulk CrMnSb0.5P0.5 in the -phase for different values of the in-plane lattice parameter. (b) Calculated out-of-plane vs in-plane lattice constant of bulk CrMnSb0.5P0.5 in the -phase, as a function of in-plane lattice constant, for biaxial strain. In-plane lattice parameters at which DOS is calculated are indicated in the figure.
C. Stability of the compounds
To analyze the stability of the considered compounds (CrMnSb and CrMnSb0.5P0.5), we calculated their formation energies as follows:
Here, and are formation energies (the subscripts here and below in this section indicate the actual number of atoms in the cell used in our calculation), and are energies per corresponding cell, while , and are energies per corresponding atom.
The calculated formation energies are
Thus, both and are negative, indicating potential stability of these compounds.
To further verify the stability of , we also compare the energy with the energies and , all three calculated at the equilibrium lattice constant of . This comparison indicates that
The negative value confirms the potential stability of and that the phase separation into and is unlikely. We note, however, that this condition does not hold, if the corresponding energies [, , and ] are calculated using the optimal lattice constants for each of these three materials. This, however, is not a realistic experimental scenario.
Although our calculations presented in this section indicate a potential stability of CrMnSb, it is noteworthy that synthesizing this material in a cubic -phase may be challenging, as the previous experimental studies on this compound did not confirm a cubic phase. In particular, Noda et al. reported a hexagonal ferromagnetic phase of CrMnSb.36 This was confirmed later by Ryzhkovskii and Goncharov, who reported a coexistence of tetragonal and hexagonal phases in Mn(2−x)CrxSb.37,38 It is shown in the latter work that increasing the Cr content results in the increase of the content of the hexagonal phase. The difficulty in realizing a fully compensated ferromagnetic phase in CrMnSb was also reported by Wijngaard et al.39 and Wurmehl et al.40 Further experimental work on this material is desired to possible confirm the properties reported in the current work.
IV. CONCLUSIONS
In this work, we showed that a half-Heusler material CrMnSb is close to a half-metallic ground state. In addition, although this material undergoes a half-metallic transition under uniform compression of ∼1.5%, such a transition is absent under epitaxial strain (due to a smaller reduction of the unit cell volume), which is a more realistic scenario in thin-film implementations. At the same time, our results indicate that a half-metallic transition in CrMnSb could be induced by a chemical substitution of Sb with P, which results in a volume reduction of the unit cell. In particular, 50% substitution of Sb with P results in a robust half-metallicity, with a 100% spin polarization being retained at a large range of epitaxial strain. Thus, our results indicate that CrMnSb0.5P0.5 could be potentially grown on different substrates, e.g., on semiconductors such as GaAs, without its electronic properties being detrimentally affected by biaxial strain. In addition, this material is a fully compensated ferrimagnet, which could be potentially useful in applications where stray magnetic fields are undesirable. Our calculations indicate that both CrMnSb and CrMnSb0.5P0.5 are potentially stable compounds.
AUTHORS’ CONTRIBUTIONS
A.R. and D.V. contributed equally to this work.
ACKNOWLEDGMENTS
Research at the University of Northern Iowa (UNI) is supported by the Department of Energy (DOE) SBIR sub-award from the Euclid Beamlabs, LLC (Phase I SBIR DE-SC0020564). This work used the Extreme Science and Engineering Discovery Environment (XSEDE), which is supported by the National Science Foundation under Grant No. ACI-1548562. This work used the XSEDE Regular Memory (Bridges) and Storage (Bridges Pylon) at the Pittsburgh Supercomputing Center (PSC) through allocation TG-DMR180059. P.L. thanks Wesley Jones from the IT Department of UNI for his help with a local computer cluster.
DATA AVAILABILITY
The data that support the findings of this study are available from the corresponding author upon reasonable request.










